Le Guide pour bien débuter la LAS : Ici

Tutoriel Forum : Ici

Planning des Séances Tutorat et EB : ICI !
Errata : Séances Tutorat et EB, Annatuts, Ronéos
Centres de Téléchargement : ICI !
Réponses des Profs : ICI !
Annales : Achat, Corrections Officieuses
Annatuts : 2025-2026, Sommaire
MCC 25/26 : ICI
Candidature MMOPK : ICI
Terminale Santé : ICI

RÉSULTATS EB 5 : Ici

Newsletter : ICI


Correction du Sujet de mardi 3 mai


Correction du Sujet de mardi 3 mai

Messagepar Buddy » 04 Mai 2011, 07:47

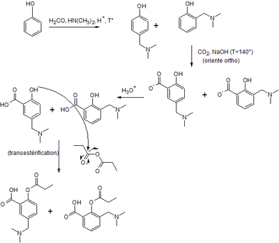
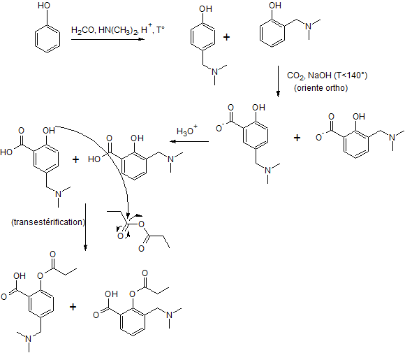
voila
QCM23.png


QCM28.png
QCM28.png (10.33 Kio) Vu 958 fois
EX - TuT'Orga et Ex - TuT'UE15
Failure will never overtake me if my determination to succeed is strong enough
Avatar de l’utilisateur
Buddy
Carabin No Life
 
Messages: 820
Inscription: 24 Déc 2009, 09:18

Re: Correction du Sujet de mardi 3 mai

Messagepar Caillou » 04 Mai 2011, 14:21

Voici les QCMs de 1 à 10, 11 à 15 ça arrive !
Correction Tut' UE15.pdf
(47.46 Kio) Téléchargé 433 fois

8)
Tuteur Chimie Générale 2010|2011 Ronéoiste Chimie Organique

Elu UFR Médecine
Co-Fondateur du Parrainage des PAES Niçois
Avatar de l’utilisateur
Caillou
Elu UFR
 
Messages: 472
Inscription: 03 Sep 2008, 20:48
Localisation: Nice

Re: Correction du Sujet de mardi 3 mai

Messagepar Babycrazy » 08 Mai 2011, 21:03

Bonsoir :D

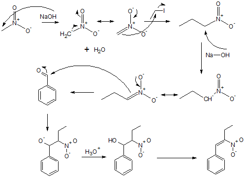
Alors voilà j'ai un petit pb avec le QCM 7, jsuis d'accord avec tout, sauf quand vous marqué ds l'application numérique que delta r H= -100KJ/mol, quand on isole l'EL c=c normalement delta r H devient positif non ?? :?
Babycrazy
Carabin Geek
 
Messages: 734
Inscription: 21 Sep 2010, 09:55

Re: Correction du Sujet de mardi 3 mai

Messagepar louantdel » 08 Mai 2011, 21:50

Bonjour à tous,

je vous poste ici la correction des QCM 11 à 15 du tutorat de mardi. Les fichiers sont disponibles en document Word ainsi qu'en PDF.
Je vous prie de m'excuser pour le retard...

Bonne soirée et bon travail a tous !!!
Fichiers joints
Correction Tutorat Pharma.pdf
(683.32 Kio) Téléchargé 441 fois
Correction Tutorat Pharma.docx
(16.18 Kio) Téléchargé 296 fois
Avatar de l’utilisateur
louantdel
Tut' Chimie
 
Messages: 69
Inscription: 23 Sep 2009, 16:54
Localisation: Nice

Re: Correction du Sujet de mardi 3 mai

Messagepar louantdel » 08 Mai 2011, 21:59

Bonsoir Babycrazy,

je suis désolé, je n'ai pas le sujet sous la main, mais seulement la correction que Pierre a posté, ce qui fait que je vois pas trop comment te répondre :s
Pierre est souvent très rapide à répondre!
Avatar de l’utilisateur
louantdel
Tut' Chimie
 
Messages: 69
Inscription: 23 Sep 2009, 16:54
Localisation: Nice

Re: Correction du Sujet de mardi 3 mai

Messagepar Caillou » 09 Mai 2011, 21:18

Babycrazy a écrit:Bonsoir :D

Alors voilà j'ai un petit pb avec le QCM 7, jsuis d'accord avec tout, sauf quand vous marqué ds l'application numérique que delta r H= -100KJ/mol, quand on isole l'EL c=c normalement delta r H devient positif non ?? :?


Ben moi quand je fais mon cycle j'obtient :
- 100 = - El(C=C) - El(H-H) - 4El(H-C) + El(C-C) + 6El(H-C)
- 100 = - El(C=C) - El(H-H) + El(C-C) + 2El(H-C)
El(C=C) = - El(H-H) + El(C-C) + 2El(H-C) + 100

et MER** !

Je vais re vérifier ça mais tu as raison y'a pas photo :?
La dur vérité d'un sujet finit le dimanche soir pour le mardi, sans avoir le temps de tout relire ..


8)
Tuteur Chimie Générale 2010|2011 Ronéoiste Chimie Organique

Elu UFR Médecine
Co-Fondateur du Parrainage des PAES Niçois
Avatar de l’utilisateur
Caillou
Elu UFR
 
Messages: 472
Inscription: 03 Sep 2008, 20:48
Localisation: Nice

Re: Correction du Sujet de mardi 3 mai

Messagepar Babycrazy » 12 Mai 2011, 17:27

Ha dac o dac ! Merci bcp :D
Babycrazy
Carabin Geek
 
Messages: 734
Inscription: 21 Sep 2010, 09:55


Retourner vers Bases chimiques du médicament



Qui est en ligne

Utilisateurs parcourant ce forum: Aucun utilisateur enregistré et 0 invités