Le Guide pour bien débuter la LAS : Ici

Tutoriel Forum : Ici

Planning des Séances Tutorat et EB : ICI !
Errata : Séances Tutorat et EB, Annatuts, Ronéos
Centres de Téléchargement : ICI !
Réponses des Profs : ICI !
Annales : Achat, Corrections Officieuses
Annatuts : 2025-2026, Sommaire
MCC 25/26 : ICI
Candidature MMOPK : ICI
Terminale Santé : ICI

CORRECTION ST 4 : Ici

Newsletter : ICI


règle de Hollemann


règle de Hollemann

Messagepar loolly » 25 Fév 2021, 19:30

Bonsoir !

Je suis dans la panade, je comprends pas du tout la règle de Hollemann, j'ai beau faire le cours dans tous les sens je comprends pas :lol:

Est ce que vous pourriez m'expliquer svpp, mes neurones commencent à saturer 0_o

Mercii :coeur:
Coeur sur vous la Pharma
Avatar de l’utilisateur
loolly
Carabin vétéran
 
Messages: 296
Inscription: 31 Juil 2020, 10:58

Re: règle de Hollemann

Messagepar LouAnastomose » 26 Fév 2021, 09:02

Coucou! :)

:arrow: Sur un composé aromatique, il existe plusieurs positions que tu dois connaître :
Capture d’écran 2021-02-26 à 08.34.32.png


:arrow: Chaque molécule aura une réactivité différente selon ses propriétés.
Certaines vont être des activateurs et d'autres seront des désactivants.

:arrow: Pour savoir ou va se faire la réaction, ou va se positionner le substituant sur le réactif de départ (qui doit être un composé aromatique), on a ce qu'on appelle les règles de Holleman. Elles sont impérativement à savoir par coeur pour le concours car déjà ça tombe mais aussi elles vont t'aider à mieux comprendre certaines réactions.
Les règles de Holleman caractérisent, pour chaque groupement, l’orientation ainsi que la réactivité par rapport au benzène.

:arrow: Ce tableau tu dois également le connaitre par coeur:
Capture d’écran 2021-02-26 à 08.34.44.png


:arrow: Donc par exemple, si tu te retrouves avec un phénol qui réagit avec un substituant A. Tu regardes ton tableau, le phénol OH est un activant donc orienteur ortho/para, donc le groupement A va aller se positionner en position ortho/para.

:arrow: Ici tu as un dérivé nitré. Dans le tableau NO2 c'est désactivant donc orientation méta. Donc ton substituant va venir se positionner en position méta.
Capture d’écran 2021-02-26 à 08.52.13.png


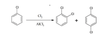
:arrow: Ici tu as un halogènes. Les halogènes sont un cas particulier car ils sont désactivants mais si on applique la règle de Holleman, ils sont censés être méta orienteurs, mais les halogènes sont désactivants mais ortho/para orienteurs.
Donc ici, le substituant Cl2 va venir se positionner en ortho/para.
Capture d’écran 2021-02-26 à 08.51.43.png


Attention certaines réactions faut juste les apprendre par coeur, comme par ex les trisubstitutions... ou les règles de Holleman ne s'applique pas ou qu'en parti. De même pour les pourcentage, des fois il y a 50% en ortho/ 50% en para, des fois c'est 40%/60%, ça faut le savoir par coeur aussi.

J'espère que tu as mieux compris, ce que tu dois savoir c'est la tableau par coeur! Il est dans la fiche sur les benzène ( différent mais c'est le même) et dans le diapo de la tut rentrée il y est aussi.

Bon courage coeur sur toi aussi <3 <3
Vos Bests tutrices de pharmacie<333
LouAnastomose
Tut' Pharmacie
Tut' Pharmacie
 
Messages: 530
Inscription: 12 Jan 2020, 10:41

Re: règle de Hollemann

Messagepar loolly » 02 Mar 2021, 07:45

woow super pour ces explications de qualité ! merci :coeur: :pharmaco:
Avatar de l’utilisateur
loolly
Carabin vétéran
 
Messages: 296
Inscription: 31 Juil 2020, 10:58


Retourner vers Chimie organique



Qui est en ligne

Utilisateurs parcourant ce forum: Aucun utilisateur enregistré et 1 invité