Le Guide pour bien débuter la LAS : Ici

Tutoriel Forum : Ici

Planning des Séances Tutorat et EB : ICI !
Errata : Séances Tutorat et EB, Annatuts, Ronéos
Centres de Téléchargement : ICI !
Réponses des Profs : ICI !
Annales : Achat, Corrections Officieuses
Annatuts : 2025-2026, Sommaire
MCC 25/26 : ICI
Candidature MMOPK : ICI
Terminale Santé : ICI

INFORMATIONS ST 4 : Ici

Newsletter : ICI


Configuration absolue pour les molecules chaises


Configuration absolue pour les molecules chaises

Messagepar Cécie » 22 Oct 2011, 08:52

Est-il possible d'en avoir un topo ou une methode pour definir la configuration absolue d'une "chaise" je ne comprend pas bien, il me semble que il y a une histoire de position equatoriale et lateral mais ...
merci
TUTORAT UE 12
ANATOMIE DE LA TÊTE ET DU COU

2013-2014

Image
Avatar de l’utilisateur
Cécie
Carabin No Life
 
Messages: 979
Inscription: 31 Aoû 2011, 14:17

Re: Configuration absolue pour les molecules chaises

Messagepar Buddy » 22 Oct 2011, 09:49

Bonjour,

Alors, je vais prendre deux exemples pour illustrer:
Sans titre.png


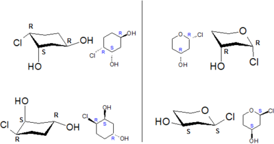
Sur une représentation chaise tu peux avoir les substituants hors cycle, présents dans deux positions: Axiale ou équatoriale.
Le carbone ayant sur les 2 cycles ci-dessus une géométrie tétraédrique avec une hybridation sp3, il faut placer les différents constituants de manière à ce que sur chaque carbone, une liaison soit en axiale et l'autre en équatoriale.

A partir de là, tu peux constater qu'en regardant le cycle par dessus (afin de le mettre à plat) une liaison équatoriale sur deux est dirigée vers l'avant et une sur deux vers l'arrière. Il en est de même pour les liaisons axiales. si la liaison axiale est vers l'avant, l'équatoriale est vers l'arrière sur ce carbone et ce sera l'inverse pour les carbones adjacents.

Puis enfin tu applique les règles du CIP pour trouver la configuration des carbones.
C'est une méthode que beaucoup utilisent, si maintenant tu arrives à voir la molécule dans l'espace, et quelles liaisons sont (directement sur la chaise) vers toi ou pas, tu appliques le CIP et tu tournes en te plaçant dans l'axe C-d.

Voilou
EX - TuT'Orga et Ex - TuT'UE15
Failure will never overtake me if my determination to succeed is strong enough
Avatar de l’utilisateur
Buddy
Carabin No Life
 
Messages: 820
Inscription: 24 Déc 2009, 09:18

Re: Configuration absolue pour les molecules chaises

Messagepar Cécie » 22 Oct 2011, 10:35

Buddy a écrit:il faut placer les différents constituants de manière à ce que sur chaque carbone, une liaison soit en axiale et l'autre en équatoriale.

Quand tu dis sa cad qu'il faut alterner un carbone avec un substituant en axial, un carbone avec un substituant en equtorial ... ???

A partir de là, tu peux constater qu'en regardant le cycle par dessus (afin de le mettre à plat) une liaison équatoriale sur deux est dirigée vers l'avant et une sur deux vers l'arrière. Il en est de même pour les liaisons axiales. si la liaison axiale est vers l'avant, l'équatoriale est vers l'arrière sur ce carbone et ce sera l'inverse pour les carbones adjacents.

Ici je ne comprend toujours pas car quand je regarde l'exemple d'en haut a droite, le Cl et le OH tous deux en position axiale devraient alors etre pour l'un vers l'avant et l'autre vers l'arriere mais sur le cycle je vois qu'ils sont tous les deux en arriere, pareil au dessous ils sont cette fois en position axiale et ils sont pourtant tous les deux vers l'avant sur le cycle ..
TUTORAT UE 12
ANATOMIE DE LA TÊTE ET DU COU

2013-2014

Image
Avatar de l’utilisateur
Cécie
Carabin No Life
 
Messages: 979
Inscription: 31 Aoû 2011, 14:17

Re: Configuration absolue pour les molecules chaises

Messagepar Buddy » 22 Oct 2011, 16:17

cecie a écrit:Quand tu dis sa cad qu'il faut alterner un carbone avec un substituant en axial, un carbone avec un substituant en equtorial ... ???


Sur chaque carbone tu as un carbone en position équatoriale, et un en position équatoriale.
A chaque changement de CONFORMATION (et non pas configuration) ça s'inverse.
Si tu regardes ta chaise par dessus, vue d'en haut, une liaison équatoriale sur 2 sera vers l'avant, et une liaison axiale sur 2 sera aussi en avant sachant que quand la liaison équatoriale d'UN carbone est en avant son axiale est en arrière et inversement pour les carbones adjacents (qui auront les axiales en avant et les équatoriales en arrière). Il y a alternance haut-bas-haut-bas des liaisons équatoriales et axiales.

Ici je ne comprend toujours pas car quand je regarde l'exemple d'en haut a droite, le Cl et le OH tous deux en position axiale devraient alors etre pour l'un vers l'avant et l'autre vers l'arriere mais sur le cycle je vois qu'ils sont tous les deux en arriere, pareil au dessous ils sont cette fois en position axiale et ils sont pourtant tous les deux vers l'avant sur le cycle ..


Cl et OH sont bien en position axiale, et tous les 2 vers l'arrière! Il y a un carbone entre les 2 (qui lie 2 H un en axiale vers l'avant et un en équatoriale vers l'arrière, on s'en fout parce qu'il est asymétrique).
En revanche, sur la molécule du bas Cl et OH sont en équatoriale!!! Il y a justement changement de configuration à cause de ça, les 2 étant modifier, ils sont du même coté du cycle, si j'en avais modifié qu'un des 2 (un en axiale comme en haut et l'autre en équatoriale comme en bas) les 2 substituants seraient de part et d'autre du cycle (en trans) et on aurait un diastéréoisomère R/S par rapport au deux molécules représentées.
EX - TuT'Orga et Ex - TuT'UE15
Failure will never overtake me if my determination to succeed is strong enough
Avatar de l’utilisateur
Buddy
Carabin No Life
 
Messages: 820
Inscription: 24 Déc 2009, 09:18

Re: Configuration absolue pour les molecules chaises

Messagepar Cécie » 22 Oct 2011, 16:55

Apres reflexion merci beaucoup j'ai saisi ;)
Avatar de l’utilisateur
Cécie
Carabin No Life
 
Messages: 979
Inscription: 31 Aoû 2011, 14:17


Retourner vers Chimie Organique



Qui est en ligne

Utilisateurs parcourant ce forum: Aucun utilisateur enregistré et 2 invités