Le Guide pour bien débuter la LAS : Ici

Tutoriel Forum : Ici

Planning des Séances Tutorat et EB : ICI !
Errata : Séances Tutorat et EB, Annatuts, Ronéos
Centres de Téléchargement : ICI !
Réponses des Profs : ICI !
Annales : Achat, Corrections Officieuses
Annatuts : 2025-2026, Sommaire
MCC 25/26 : ICI
Candidature MMOPK : ICI
Terminale Santé : ICI

INSCRIPTIONS ATELIERS ORAUX : Ici

SUJETS EB SEMESTRE 2 : Ici

Newsletter : ICI


Stéréochimie


Stéréochimie

Messagepar Clairej » 20 Aoû 2011, 22:58

Salut,
J'ai un petit problème avec la stéréochimie, je n'arrive pas a passer de la configuration de Newman à celle de Fischer et je me suis dit que vous pourriez peut etre m'aider! :)
Plus précisément, je sais qu'on doit d'abord repérer la fonction principale et la mettre en haut en bout de chaine et placer les substituants dans l'ordre direct ou inverse selon si le carbone 1 est devant ou derrière dans la configuration de Newman. Mais pour les substituants du carbone 2, j'ai plus de mal! Est ce que je dois "tourner la feuille" (celle de Newman) pour que le carbone 2 soit en haut ou je laisse toujours le carbone 1 en haut et je place les substituants en fonction de ca?
Voila! Merci :)
Clairej
Carabin newbie
 
Messages: 7
Inscription: 20 Aoû 2011, 22:47

Re: Stéréochimie

Messagepar Buddy » 22 Aoû 2011, 00:19

Bonsoir,

Alors on continue la belle présentation :D
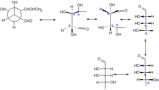
Rappels:

- Sur une vue de Fisher, la fonction principale est en haut, la chaine carbonée la plus longue verticale et les substituants placés sur l'horizontale.
-Pour passer de Newman a Fisher le plus simple est de commencer par regarder la molécule par dessus de manière à voir l'axe de la liaison C-C en face.
- Puis on place les substituants avec les liaisons en avant et en arrière selon qu'ils soient vers le haut ou vers le bas.
- Puis on l'a retourne pour mettre la fonction principale en haut et la chaine carbonée verticale tout en respectant la stéréochimie.

exemple
Sans titre2.png
Sans titre2.png (9.7 Kio) Vu 393 fois


Bon c'est un petit peu long pour l'exemple que j'ai pris mais c'est le plus dur qu'il pourrait potentiellement vous demander, et encore....

On vous fera un dm en septembre avec LX pour vous entraîner sur une vingtaine de molécules
EX - TuT'Orga et Ex - TuT'UE15
Failure will never overtake me if my determination to succeed is strong enough
Avatar de l’utilisateur
Buddy
Carabin No Life
 
Messages: 820
Inscription: 24 Déc 2009, 10:18


Retourner vers Chimie Organique



Qui est en ligne

Utilisateurs parcourant ce forum: Aucun utilisateur enregistré et 0 invités