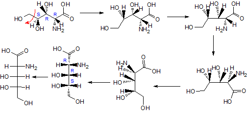
Autre explication pour fisher
Pour Fisher, l'essentiel:

chaine la plus longue verticale

fonction principale en haut

et liaison des autres carbones horizontales.

Les liaisons horizontales sont vers l'avant.

les 2 terminales vers l'arrière.

les liaisons centrales C-C sont considérées comme sur un même plan
ce qui est différent de Cram où on a des "montagnes" pour faire simple
New exclusive example:

- Sans titre1.png (10.92 Kio) Vu 6194 fois

Il faut que tu tournes les différentes liaisons C-C pour mettre les 2 liaisons terminales vers le bas, et les carbones centraux sur un meme plan.

De ce fait, les liaisons en avant vers le bas deviennent en arrière vers le haut par rotation. Les liaisons en arrière vers le bas deviennent en avant vers le haut. Les liaisons déjà vers le haut restent inchangés.
On regarde la molécule PAR DESSUS sans changer les éléments de place. Les éléments vers le haut se retrouve en avant, sachant que nous laissons la chaine carbonée dans le plan. Les 2 extrémités sont vers l'arrière. On laisse les mêmes éléments de chaque coté en partant du carbone en-dessous du carbone portant la liaison principale.
Astuces astuces: vous pouvez verifier votre représentation de Fisher en mettant déterminant les configurations absolues des carbones asymétriques qui doivent être IDENTQUES sur Fisher et sur Cram. Pour Fisher vous mettez les liaisons horizontales en avant et celles en arrière, Comme H est en arrière on inverse.
Pour Newman,

- Sans titre1.jpg (16.38 Kio) Vu 6194 fois
Il suffit de placer son regard dans l'axe de la flèche = AXE de la LIAISON C-C et tu retrouves les représentation de Newman à coté.
Sachant de des liaisons en Avant sur Cram son du même coté sur Newman, FAITES CEPENDANT ATTENTION AUX ROTATIONS AUTOUR DES LAISONS SIMPLE C-C, vérifiez l'ordre des substituants de chaque carbone (= même configuration que sur Cram).