Le Guide pour bien débuter la LAS : Ici

Tutoriel Forum : Ici

Planning des Séances Tutorat et EB : ICI !
Errata : Séances Tutorat et EB, Annatuts, Ronéos
Centres de Téléchargement : ICI !
Réponses des Profs : ICI !
Annales : Achat, Corrections Officieuses
Annatuts : 2025-2026, Sommaire
MCC 25/26 : ICI
Candidature MMOPK : ICI
Terminale Santé : ICI

INSCRIPTIONS ATELIERS ORAUX : Ici

SUJETS EB SEMESTRE 2 : Ici

Newsletter : ICI


DM de novembre


DM de novembre

Messagepar Buddy » 02 Nov 2011, 10:30

Bonjour les loulous,

Alors voilà DM + correction, les items de cours je les ai pas détaillé dans la correction.

Mon co-tuteur devrait vous en poster un bientôt aussi.

DM nov.pdf
(246.27 Kio) Téléchargé 1479 fois

1V.pdf
(287.56 Kio) Téléchargé 1213 fois


Il se peut qu'il y ait des erreurs sur les exos de réactivité, je suis dans un tel état de sédation que j'ai pu zapper un tit détail si vous en voyez dites le moi DANS, ce post, les question dans ce post aussi comme ça c'est plus clair.

Voilou
EX - TuT'Orga et Ex - TuT'UE15
Failure will never overtake me if my determination to succeed is strong enough
Avatar de l’utilisateur
Buddy
Carabin No Life
 
Messages: 820
Inscription: 24 Déc 2009, 10:18

Re: DM de novembre

Messagepar GathGath » 02 Nov 2011, 11:11

Merci pour ce DM je vais le faire de suite :p
Un petit merci ça fait plaisir et ça coûte rien :)

Image
Avatar de l’utilisateur
GathGath
Carabin addicted
 
Messages: 1200
Inscription: 10 Sep 2011, 17:41
Localisation: En plein milieux des feuilles d'embryo

Re: DM de novembre

Messagepar Dawn » 02 Nov 2011, 22:00

Merci pour ce DM ! C'est vraiment super :D
:dance: PAESienne2 <3 :dance:
Avatar de l’utilisateur
Dawn
Carabin addicted
 
Messages: 1440
Inscription: 16 Juil 2011, 10:57

Re: DM de novembre

Messagepar Zhost » 03 Nov 2011, 22:08

Bonsoir :) !

Alors, voici l'énoncé de l'item 7 :
Une réaction conduisant à la formation de 2 énantiomères de façons stéréosélectives donnent un mélange optiquement active.
Correction : Vrai.

C'est vrai pour moi aussi (et heureusement parce que sinon j'aurais rien compris à l'orga :D ) mais pas tout le temps.
Par exemple, dans le cadre d'une dihydrogénation on va avoir une stéréosélectivité puisqu'on aura formé (par exemple) RR et SS, mais en aucun cas RS et SR.
Et pourtant, nos 2 énantiomères formés sont 50/50.

Donc, ici, c'est stéréosélectif, il y a 2 énantiomères (à part si il y a un composé méso) et pourtant, on est en présence d'un mélange racémique.


Sinon, très beau DM ! Merciiii :)
Pensez bien à éditer votre question avec l'en-tête [Résolu] lorsque la réponse vous convient !

Image

In orga we drug
Avatar de l’utilisateur
Zhost
Carabin addicted
 
Messages: 1173
Inscription: 07 Sep 2010, 10:02

Re: DM de novembre

Messagepar Buddy » 03 Nov 2011, 23:53

Bonsoir Zhost,

Explication béton, très recherchée, que dire... Bravo!

Donc item 7 faudrait préciser "donnent en GENERAL un mélange optiquement pure.
EX - TuT'Orga et Ex - TuT'UE15
Failure will never overtake me if my determination to succeed is strong enough
Avatar de l’utilisateur
Buddy
Carabin No Life
 
Messages: 820
Inscription: 24 Déc 2009, 10:18

Re: DM de novembre

Messagepar Ludi » 04 Nov 2011, 00:04

Merci pour le dm !!! c'est super :D
Avatar de l’utilisateur
Ludi
Gold Carabin
 
Messages: 2583
Inscription: 23 Juil 2010, 20:01
Localisation: Sur un tapis volant

Re: DM de novembre

Messagepar Mika » 06 Nov 2011, 22:42

Merci bcp pr ce DM j'ai juste une question pr l'exo 2 : lorsqu'on fait agir H2O pk on fait pas une SN1 sur le Brome ??

Merci d'avance
Tuteur BioCell 2012-2013

" Le Hasard, c'est Dieu qui se promène incognito." A.Einstein
Avatar de l’utilisateur
Mika
Tut' Biocell
Tut' Biocell
 
Messages: 1244
Inscription: 02 Oct 2010, 23:56

Re: DM de novembre

Messagepar Buddy » 07 Nov 2011, 00:18

Bonsoir,

C'est une bonne question j'aime bien :)

On pourrait avoir une SN1 c'est vrai car dans le cours c'est écrit comme ça mais là ton Oxygène a une liaison très instable avec Na+ qui est un alcalin, donc la plupart de ses liaisons sont ioniques, (il réagit fortement avec l'eau, ça vous êtes pas censés le savoir) mais donc la réactivité est plus facile de ce coté.

Tu auras une SN1 dans des proportions minoritaires négligeables.

Dès que vous avez addition sur carbonyle avec Na, y a toujours H2O qui suit pour former l'alcool.

Voilou :D
EX - TuT'Orga et Ex - TuT'UE15
Failure will never overtake me if my determination to succeed is strong enough
Avatar de l’utilisateur
Buddy
Carabin No Life
 
Messages: 820
Inscription: 24 Déc 2009, 10:18

Re: DM de novembre

Messagepar Mika » 07 Nov 2011, 16:12

Okey merci bcp :)
Tuteur BioCell 2012-2013

" Le Hasard, c'est Dieu qui se promène incognito." A.Einstein
Avatar de l’utilisateur
Mika
Tut' Biocell
Tut' Biocell
 
Messages: 1244
Inscription: 02 Oct 2010, 23:56

Re: DM de novembre

Messagepar Babycrazy » 10 Nov 2011, 11:26

Coucou tt le monde :D

D'abord merci pr de DM très bien fait !!
Juste une ptite question je n'arrive pas à comprendre pk l'item 5 est faux, en effet pr moi une conformation syn c'est la conformation la plus haute en énergie et où les grpmt les + volumineux st l'un derrière l'autre, dc où est le pb ? Mercii d'avance :wink:
Babycrazy
Carabin Geek
 
Messages: 734
Inscription: 21 Sep 2010, 10:55

Re: DM de novembre

Messagepar Zhost » 10 Nov 2011, 13:08

Enoncé : "la conformation syn du 2-chloro-1-iodoéthane est un conformère de haute énergie".
Le piège c'est conformère. Un conformère est une molécule stable, de faible énergie.
On peut avoir des conformères anti ou décalé gauche.
Mais on a des confomations éclipsé et syn.
Pensez bien à éditer votre question avec l'en-tête [Résolu] lorsque la réponse vous convient !

Image

In orga we drug
Avatar de l’utilisateur
Zhost
Carabin addicted
 
Messages: 1173
Inscription: 07 Sep 2010, 10:02

Re: DM de novembre

Messagepar Tonio » 12 Déc 2011, 12:33

Bonjour les fana d'orga !

J'aurais une petite question pour l'exercice 6 :

-Après l'action de H2 avec le Pd de Lindlar, on obtient 2 alcènes : le premier, celui à gauche de la molécule n'a qu'un substituant, et le deuxième, celui du milieu, a un substituant de chaque côté.

-Arrive alors HCl, il a le choix d'attaquer l'un ou l'autre.
Celui du milieu est plus substitué, donc plus stable, donc moins réactif, donc ne devrait-il pas attaquer celui de gauche ?

On obtiendrait alors du (Z)2-chloro-5-méthylex-3-ène ?

Voila, ma question est donc : pourquoi HCl attaque l'alcène du milieu et non pas celui de gauche ?

Merci d'avance :)
Nous devons espérer le meilleur, mais envisager le pire
Tonio
Apprenti Carabin
 
Messages: 106
Inscription: 10 Sep 2010, 22:37

Re: DM de novembre

Messagepar AIex » 12 Déc 2011, 21:36

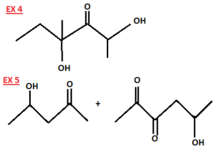
Est-ce que quelqu'un pourrait me dire les produits que l'on obtient dans les exos 4 et 5 svp ?
Avatar de l’utilisateur
AIex
Apprenti Carabin
 
Messages: 175
Inscription: 12 Sep 2011, 14:29

Re: DM de novembre

Messagepar Tonio » 12 Déc 2011, 23:37

Salut !

Pour ma part j'obtiens :
Fichiers joints
orga.png
orga.png (6.61 Kio) Vu 2255 fois
Nous devons espérer le meilleur, mais envisager le pire
Tonio
Apprenti Carabin
 
Messages: 106
Inscription: 10 Sep 2010, 22:37

Re: DM de novembre

Messagepar AIex » 12 Déc 2011, 23:52

Super, j'ai juste un carbone en moins (celui de gauche) pour le 4 et pour la 2e molécule du 5 ... que dire ... Attendons Buddy je crois lol ! ^^
Je suis ok pour la première du 5, mais la seconde j'ai un anhydride d'acide ramifié sur le carbone 3 par un éthyl avec un groupement hydroxyle sur le 1er carbone.
Avatar de l’utilisateur
AIex
Apprenti Carabin
 
Messages: 175
Inscription: 12 Sep 2011, 14:29

Re: DM de novembre

Messagepar Tonio » 13 Déc 2011, 09:43

Ah zut... ^^
Attendons Buddy alors !
Nous devons espérer le meilleur, mais envisager le pire
Tonio
Apprenti Carabin
 
Messages: 106
Inscription: 10 Sep 2010, 22:37

Re: DM de novembre

Messagepar Buddy » 13 Déc 2011, 16:26

AIex a écrit:Est-ce que quelqu'un pourrait me dire les produits que l'on obtient dans les exos 4 et 5 svp ?


viewtopic.php?f=224&t=17402

Tonio a écrit:Bonjour les fana d'orga !

J'aurais une petite question pour l'exercice 6 :

-Après l'action de H2 avec le Pd de Lindlar, on obtient 2 alcènes : le premier, celui à gauche de la molécule n'a qu'un substituant, et le deuxième, celui du milieu, a un substituant de chaque côté.

-Arrive alors HCl, il a le choix d'attaquer l'un ou l'autre.
Celui du milieu est plus substitué, donc plus stable, donc moins réactif, donc ne devrait-il pas attaquer celui de gauche ?

:arrow: Non, tu fais la réaction de manière à former le carbocation le plus stable (favorable cinétiquement parlant) donc le plus substitué.

On obtiendrait alors du (Z)2-chloro-5-méthylex-3-ène ?

Voila, ma question est donc : pourquoi HCl attaque l'alcène du milieu et non pas celui de gauche ?

Merci d'avance :)


Voilou
EX - TuT'Orga et Ex - TuT'UE15
Failure will never overtake me if my determination to succeed is strong enough
Avatar de l’utilisateur
Buddy
Carabin No Life
 
Messages: 820
Inscription: 24 Déc 2009, 10:18

Re: DM de novembre

Messagepar Tonio » 13 Déc 2011, 17:53

Tout y est, merci Buddy :)
Nous devons espérer le meilleur, mais envisager le pire
Tonio
Apprenti Carabin
 
Messages: 106
Inscription: 10 Sep 2010, 22:37

Re: DM de novembre

Messagepar AIex » 13 Déc 2011, 20:24

Nickel merci !
Avatar de l’utilisateur
AIex
Apprenti Carabin
 
Messages: 175
Inscription: 12 Sep 2011, 14:29


Retourner vers Chimie Organique



Qui est en ligne

Utilisateurs parcourant ce forum: Aucun utilisateur enregistré et 0 invités