Le Guide pour bien débuter la LAS : Ici

Tutoriel Forum : Ici

Planning des Séances Tutorat et EB : ICI !
Errata : Séances Tutorat et EB, Annatuts, Ronéos
Centres de Téléchargement : ICI !
Réponses des Profs : ICI !
Annales : Achat, Corrections Officieuses
Annatuts : 2025-2026, Sommaire
MCC 25/26 : ICI
Candidature MMOPK : ICI
Terminale Santé : ICI

INSCRIPTIONS ATELIERS ORAUX : Ici

SUJETS EB SEMESTRE 2 : Ici

Newsletter : ICI


[DM de novembre] Détails des réactions


[DM de novembre] Détails des réactions

Messagepar Bimbadaboum » 11 Nov 2011, 17:32

Bonjour,

Déjà merci pour ce DM.

Ce serait simplement pour savoir, SI VRAIMENT VOUS AVEZ LE TEMPS hein, si c'est possible de faire les dessins des molécules aux étapes des séquences (dans les exo où elles n'y sont pas).

La chimie O n'étant pas mon fort (je m'accroche haha) et n'ayant que les types de réactions, je tombe sur des molécules très euh ... farfelues en fin de séquences ^^. Donc si vous savez pas quoi faire, pensez y :)

voila voila, merci
"If you are going through hell, keep going." Winston Churchill
Avatar de l’utilisateur
Bimbadaboum
Carabin vétéran
 
Messages: 257
Inscription: 28 Fév 2010, 22:57

Re: [DM de novembre] Détails des réactions

Messagepar ♣WAJDI♣ » 11 Nov 2011, 20:55

Salut,

Quel est le qcm que tu veux que je te détaille ? :D

@+
Tuteur UE12s 2012-2013

Rien n'égale la timidité de l'ignorance, si ce n'est sa témérité. Quand l'ignorance se met à oser, c'est qu'elle a en elle une boussole. Cette boussole, c'est l'intuition du vrai, plus claire parfois dans un esprit simple que dans un esprit compliqué. - Victor Hugo
Image
Avatar de l’utilisateur
♣WAJDI♣
Carabin addicted
 
Messages: 1445
Inscription: 28 Aoû 2010, 18:21

Re: [DM de novembre] Détails des réactions

Messagepar Ice » 11 Nov 2011, 21:05

Lesquelles tu veux :mrgreen: ?
Avatar de l’utilisateur
Ice
Apprenti Carabin
 
Messages: 100
Inscription: 08 Juil 2011, 22:19

Re: [DM de novembre] Détails des réactions

Messagepar WatiGG » 11 Nov 2011, 21:28

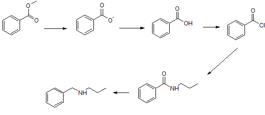
Plop, voilà l'exercice 4, y'a pas le détail des réactions mais elles sont dans l'ordre (je n'ai pas fait apparaître la réaction "inutile" de la non-oxydation de l'alcool III).

Image

Espérons qu'il y ait pas d'erreurs, àplouche!
(en fait à partir de ça on peut même s'amuser à chercher les réactifs, i'm awesome ! … :roll: )
Tuteur de chimie orga 2012-2013 retraité
VP G33K et VP Communication
BDE Médecine Nice 2013-2014

π-Carabins

Cliquez pour vous détendre.
Avatar de l’utilisateur
WatiGG
Administrateur
Administrateur
 
Messages: 1356
Inscription: 13 Sep 2010, 19:33

Re: [DM de novembre] Détails des réactions

Messagepar Bimbadaboum » 12 Nov 2011, 11:30

Oh super gros :)

Ceux qui me gènent le plus c'étaient le quatre (encore merci) et le ... 5 ^^

Vous cassez pas la tête, c'est si vraiment vous avez le temps et l'envie :o

Bon courage tout le monde !
"If you are going through hell, keep going." Winston Churchill
Avatar de l’utilisateur
Bimbadaboum
Carabin vétéran
 
Messages: 257
Inscription: 28 Fév 2010, 22:57

Re: [DM de novembre] Détails des réactions

Messagepar WatiGG » 12 Nov 2011, 12:26

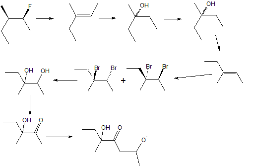
Je viens de voir une faute à la dernière que j'ai mise, j'ai pris pour réactif de la condensation le méthanal alors que c'est l'éthanal dans l'énoncé.
On forme donc un produit un peu différent avec un alcoolate secondaire !

Voilà pour l'exo 5, j'espère que tout est bon encore une fois !

Image
Tuteur de chimie orga 2012-2013 retraité
VP G33K et VP Communication
BDE Médecine Nice 2013-2014

π-Carabins

Cliquez pour vous détendre.
Avatar de l’utilisateur
WatiGG
Administrateur
Administrateur
 
Messages: 1356
Inscription: 13 Sep 2010, 19:33

Re: [DM de novembre] Détails des réactions

Messagepar ♣WAJDI♣ » 12 Nov 2011, 12:35

Salut,

déjà pour la première réaction je ne suis pas d'accord WatiGG, normalement tu fais une E2 et tu obtiens un alcène Z, sauf erreur de ma part :D

@+
Tuteur UE12s 2012-2013

Rien n'égale la timidité de l'ignorance, si ce n'est sa témérité. Quand l'ignorance se met à oser, c'est qu'elle a en elle une boussole. Cette boussole, c'est l'intuition du vrai, plus claire parfois dans un esprit simple que dans un esprit compliqué. - Victor Hugo
Image
Avatar de l’utilisateur
♣WAJDI♣
Carabin addicted
 
Messages: 1445
Inscription: 28 Aoû 2010, 18:21

Re: [DM de novembre] Détails des réactions

Messagepar WatiGG » 12 Nov 2011, 13:04

♣trivisteamis♣ a écrit:Salut,

déjà pour la première réaction je ne suis pas d'accord WatiGG, normalement tu fais une E2 et tu obtiens un alcène Z, sauf erreur de ma part :D

@+


Vrai, j'ai pas fait attention en dessinant ! Merci !
Tuteur de chimie orga 2012-2013 retraité
VP G33K et VP Communication
BDE Médecine Nice 2013-2014

π-Carabins

Cliquez pour vous détendre.
Avatar de l’utilisateur
WatiGG
Administrateur
Administrateur
 
Messages: 1356
Inscription: 13 Sep 2010, 19:33

Re: [DM de novembre] Détails des réactions

Messagepar ♣WAJDI♣ » 12 Nov 2011, 13:34

De rien Guillaume :D

Sinon c'est parfait !!! 8)
Tuteur UE12s 2012-2013

Rien n'égale la timidité de l'ignorance, si ce n'est sa témérité. Quand l'ignorance se met à oser, c'est qu'elle a en elle une boussole. Cette boussole, c'est l'intuition du vrai, plus claire parfois dans un esprit simple que dans un esprit compliqué. - Victor Hugo
Image
Avatar de l’utilisateur
♣WAJDI♣
Carabin addicted
 
Messages: 1445
Inscription: 28 Aoû 2010, 18:21

Re: [DM de novembre] Détails des réactions

Messagepar ♣WAJDI♣ » 12 Nov 2011, 14:31

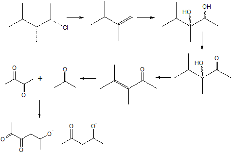
bon pour le 4, j'ai essayé, je dis bien j'ai essayé donc je peux faire des erreurs :roll: , j'avoue que les molécules de Guillaume sont plus belles que les miennes (d'ailleurs quel logiciel utilises tu ? :D )
Donnez vos avis ? 8)
Fichiers joints
exo4.png
Correction détaillée exo 4 DM orga
Tuteur UE12s 2012-2013

Rien n'égale la timidité de l'ignorance, si ce n'est sa témérité. Quand l'ignorance se met à oser, c'est qu'elle a en elle une boussole. Cette boussole, c'est l'intuition du vrai, plus claire parfois dans un esprit simple que dans un esprit compliqué. - Victor Hugo
Image
Avatar de l’utilisateur
♣WAJDI♣
Carabin addicted
 
Messages: 1445
Inscription: 28 Aoû 2010, 18:21

Re: [DM de novembre] Détails des réactions

Messagepar ♣WAJDI♣ » 12 Nov 2011, 14:42

je pense que j'ai fais de la merde :mrgreen: pour la dernière étape, att je vérifie tout de même

BUDDY, LX ... A l'aide je ne sais plus si le OH en alpha de la cétone doit partir lors de la cétolisation parce que sinon on ne respecte plus la valence du carbone ???! :roll:

De rien Bimbadaboum ! :D
Dernière édition par ♣WAJDI♣ le 12 Nov 2011, 15:02, édité 2 fois.
Tuteur UE12s 2012-2013

Rien n'égale la timidité de l'ignorance, si ce n'est sa témérité. Quand l'ignorance se met à oser, c'est qu'elle a en elle une boussole. Cette boussole, c'est l'intuition du vrai, plus claire parfois dans un esprit simple que dans un esprit compliqué. - Victor Hugo
Image
Avatar de l’utilisateur
♣WAJDI♣
Carabin addicted
 
Messages: 1445
Inscription: 28 Aoû 2010, 18:21

Re: [DM de novembre] Détails des réactions

Messagepar Bimbadaboum » 12 Nov 2011, 14:58

Franchement merci à vous deux !
"If you are going through hell, keep going." Winston Churchill
Avatar de l’utilisateur
Bimbadaboum
Carabin vétéran
 
Messages: 257
Inscription: 28 Fév 2010, 22:57

Re: [DM de novembre] Détails des réactions

Messagepar WatiGG » 12 Nov 2011, 15:35

♣trivisteamis♣ a écrit:quel logiciel utilises tu ?


J'utilise Marvin !
Je cherchais un logiciel de modélisation un peu hasard dispo sur Mac, et j'ai trouvé ça (C'est en fait un pack de 3 logiciels, deux pour les visualisations 3D et un pour les visualisations 2D : MarvinSketch). Il est vraiment bien ^^

Pour la dernière étape de l'exo 4, tu n'as pas de proton acide à arracher en bêta (du côté du carbone asymétrique), donc tu arracherais plutôt en bêta de l'autre côté ^^ du coup on condense l'aldéhyde et on se retrouve dans une configuration similaire à la dernière étape de l'exo 5
Tuteur de chimie orga 2012-2013 retraité
VP G33K et VP Communication
BDE Médecine Nice 2013-2014

π-Carabins

Cliquez pour vous détendre.
Avatar de l’utilisateur
WatiGG
Administrateur
Administrateur
 
Messages: 1356
Inscription: 13 Sep 2010, 19:33

Re: [DM de novembre] Détails des réactions

Messagepar ♣WAJDI♣ » 12 Nov 2011, 15:46

WatiGG a écrit:
♣trivisteamis♣ a écrit:quel logiciel utilises tu ?


J'utilise Marvin !
Je cherchais un logiciel de modélisation un peu hasard dispo sur Mac, et j'ai trouvé ça (C'est en fait un pack de 3 logiciels, deux pour les visualisations 3D et un pour les visualisations 2D : MarvinSketch). Il est vraiment bien ^^

Pour la dernière étape de l'exo 4, tu n'as pas de proton acide à arracher en bêta (du côté du carbone asymétrique), donc tu arracherais plutôt en bêta de l'autre côté ^^ du coup on condense l'aldéhyde et on se retrouve dans une configuration similaire à la dernière étape de l'exo 5


Ah oui effectivement mais où avais-je la tête, tout s'explique et on trouve finalement cette molécule :

(voir pièce jointe ^^)

Merci pour le logiciel. @+
Fichiers joints
exo4molecule.png
exo4molecule.png (6.04 Kio) Vu 1945 fois
Tuteur UE12s 2012-2013

Rien n'égale la timidité de l'ignorance, si ce n'est sa témérité. Quand l'ignorance se met à oser, c'est qu'elle a en elle une boussole. Cette boussole, c'est l'intuition du vrai, plus claire parfois dans un esprit simple que dans un esprit compliqué. - Victor Hugo
Image
Avatar de l’utilisateur
♣WAJDI♣
Carabin addicted
 
Messages: 1445
Inscription: 28 Aoû 2010, 18:21

Re: [DM de novembre] Détails des réactions

Messagepar Buddy » 12 Nov 2011, 15:46

Salut salut,

ça va que c'est vous 3 et que depuis tout à l'heure j'ai des alertes :mrgreen:

Alors
Exo 4:

Sans titre.png
Sans titre.png (7.77 Kio) Vu 1945 fois

Le coup de l'absence de proton en alpha au niveau de l'alcool est juste un piège courant attention pour le concours on sait jamais...

Exo 5:

Sans titre2.png
Sans titre2.png (7.55 Kio) Vu 1945 fois


Exo 7:

Sans titre3.png
Sans titre3.png (5.45 Kio) Vu 1945 fois


Voilou,

Niveau logiciel si tu es sur pc le mieux c'est chem après pour avoir des molécules style marvine ou e-molécule tu modifies les paramètres.
Marvin est correcte mais tellement moins paramétré, t'as pleins d'appli en moins.

Bonne journée :D
EX - TuT'Orga et Ex - TuT'UE15
Failure will never overtake me if my determination to succeed is strong enough
Avatar de l’utilisateur
Buddy
Carabin No Life
 
Messages: 820
Inscription: 24 Déc 2009, 10:18

Re: [DM de novembre] Détails des réactions

Messagepar ♣WAJDI♣ » 12 Nov 2011, 15:50

+1000000 BUDDY :D
Tuteur UE12s 2012-2013

Rien n'égale la timidité de l'ignorance, si ce n'est sa témérité. Quand l'ignorance se met à oser, c'est qu'elle a en elle une boussole. Cette boussole, c'est l'intuition du vrai, plus claire parfois dans un esprit simple que dans un esprit compliqué. - Victor Hugo
Image
Avatar de l’utilisateur
♣WAJDI♣
Carabin addicted
 
Messages: 1445
Inscription: 28 Aoû 2010, 18:21

Re: [DM de novembre] Détails des réactions

Messagepar MAnaïs » 20 Nov 2011, 17:30

Bonjour buddy,

Pourrais-tu me dire si mes réponses sont juste ? (en rouge sur l'image) Puis.. je ne comprends pas la derniere réaction avec l'éthanal.. Que faut-il faire ?
Et pour finir, (la question bête pour la fin ^^), je ne vois pas ou est l'absence de protons ^^
En tout cas merci beaucoup a tous pour ses réponses autant détaillées vous êtes géniaux !
Fichiers joints
2.png
.. On a conscience avant, on prend conscience après .. - Oscar Wilde -
MAnaïs
Apprenti Carabin
 
Messages: 163
Inscription: 21 Sep 2011, 14:31

Re: [DM de novembre] Détails des réactions

Messagepar ♣WAJDI♣ » 20 Nov 2011, 18:07

SAlut,

tu as tout a fait raison pour l'étape 2 on obtient bien un alcène Z, comme je l'ai signalé quelques posts plus haut, en fait ceux sont les logiciels qui déconnent quand on crée les molécules. Par contre pour l'autre tu obtiens bien un alcène E. Pour la réaction faisant intéragir l'éthanal, tu fait une cétolisation, tu attaque le C du carbonyle de l'aldéhyde avec le Calpha de l'autre molécule déprotoné auparavant par la base forte tu obtiens finalement la molécule de Buddy.

Pour la question du proton, moi aussi je me suis fais avoir, car je me suis précipité (par amour de l'orga :mrgreen: ), on fait tu ne peux pas déprotoner sur le carbone n'ayant pas de H, tu attaques donc de l'autre côté. Voilou j'ai essayé de répondre à ta question, en éspérant que ça t'aidera. @+ :D
Tuteur UE12s 2012-2013

Rien n'égale la timidité de l'ignorance, si ce n'est sa témérité. Quand l'ignorance se met à oser, c'est qu'elle a en elle une boussole. Cette boussole, c'est l'intuition du vrai, plus claire parfois dans un esprit simple que dans un esprit compliqué. - Victor Hugo
Image
Avatar de l’utilisateur
♣WAJDI♣
Carabin addicted
 
Messages: 1445
Inscription: 28 Aoû 2010, 18:21

Re: [DM de novembre] Détails des réactions

Messagepar MAnaïs » 20 Nov 2011, 18:24

Je ne comprends pas pourquoi on obtient un E ..
.. On a conscience avant, on prend conscience après .. - Oscar Wilde -
MAnaïs
Apprenti Carabin
 
Messages: 163
Inscription: 21 Sep 2011, 14:31

Re: [DM de novembre] Détails des réactions

Messagepar ♠LX♠ » 20 Nov 2011, 18:27

MAnaïs a écrit:Je ne comprends pas pourquoi on obtient un E ..


Parcequ'il est plus stable que l'alcène Z. Quand tu as le choix entre les 2, le majoritaires sera l'alcène E. (sauf cas particulier du Pd lindlar)
Tut' Orga 2011-2012
VP Communication Corpo des Carabins Niçois Avril 2012- Novembre 2012
VP Logistique et Secretaire Corpo des Carabins Niçois 2012- 2013
VP Event Critard Organisation Nicoise 2012- 2013
VP Soirée NISSA WEF 2014
Elu UFR 2013 - 2015
Avatar de l’utilisateur
♠LX♠
Administrateur
Administrateur
 
Messages: 1593
Inscription: 14 Juil 2010, 19:40

Suivante

Retourner vers Chimie Organique



Qui est en ligne

Utilisateurs parcourant ce forum: Aucun utilisateur enregistré et 1 invité