Comme l'indique le sujet de mon post, il y a encore quelques petites choses dans la correction que je ne comprends pas (même après les divers modifications qui ont été apporté). Ceci concerne en particulier le QCM 8 en chimie O.
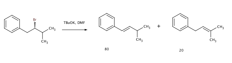
Je vais d'abord vous remémorer vite fait le qcm de chimie O en particulier l'item qui me pose un soucis : "La règle de Saytsev nous impose de former l'alcène le plus substitué". Donc pour cette item la correction me dit que c'est l'alcène le plus stable, qui peut ne pas être le plus substitué en cas de mésomérie. Je suis entièrement d'accord avec cette phrase de la correction sauf que dans le cas de la mésomérie la régle de Saytsev continue de s'appliquer sur l'alcène mais étant donné que la mésomérie stabilise encore plus l’alcène, c'est elle qui va dominer par rapport à la règle de Saytsev. Pour un petit peu résumer ceci, l'item me parait juste car dans tous les cas la règle de Saytsev s'applique sur l'alcène et elle impose dans tous les cas de former l'alcène le plus substitué sauf que quand il y a mésomérie cette règle s'applique toujours mais la mésomérie prévaut pour stabilisé la molécule. Je suis désolé si mon explication est un petit peu fouillis mais expliquer ce que je pense par écrit surtout en ce qui concerne la chimie O est assez difficile.
Merci aux tut qui pourront accordé un petit peu de temps à cette lecture et qui ^pourront, je l'espère m'aider
Bonne journée à tous !!


