Lors de l'exercice 7 la réaction 3, je ne vois pas comment on passe d'une fonction ester à une fonction amide en ouvrant le cycle, pourriez-vous me détailler le " mécanisme " ?
Merci d'avance et merci pour ces sujets
bonne soirée

WatiGG a écrit:Salut !
L'énolisation c'est quand, sur un carbonyle, tu vas "déprotonner en alpha". On a un carbonyle que l'on va transformer, par exemple, en énolate dans le cas d'une cétone.
En fait, on peut "déprotonner en alpha" avec une base forte car la forme énolate est plutôt stable (grâce à la mésomérie n—sigma—π).
Dans l'énolate, on a la charge moins sur l'oxygène et la double liaison sur C=C (le suffixe "ate" se réfère en général aux espèces chargées moins !).
Ouep
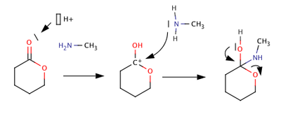
Pour la réaction 7, ce qu'il se passe :
• On a une attaque électrophile du proton H+ sur l'oxygène le plus saturé de l'ester, ce qui forme un diol avec une charge + (sur le carbone 1). C'est instable, je crois d'ailleurs que c'est un état de transition.
• L'azote vient donner un de ses DNL sur le carbocation, on forme la liaison C-N
• On veut retrouver la stabilité de l'oxygène, pour cela l'H+ s'en va pour reformer la liaison C=O que l'on avait au départ. Cependant, cette manipulation nécessite le départ de l'une des liaisons sur le carbone 1, car on deviendrait alors pentavalent. On casse donc la liaison C—O pour garder C=O et C—N.
• L'H+ va venir combler le défaut de valence de l'oxygène qu'on vient d'éjecter.
=> On a ouvert le cycle et formé une amide.
Attention sur la molécule 2 c'est COH+ avec double liaison C=O et + sur le O pas sur le C puis attaque du C par le réactif, c'est juste ça qui m'embete un peu :p
Voici à peu près le mécanisme (il manque quelques mouvements d'ions mais c'est l'esprit)



Retourner vers Chimie Organique
Utilisateurs parcourant ce forum: Aucun utilisateur enregistré et 1 invité