Le Guide pour bien débuter la LAS : Ici

Tutoriel Forum : Ici

Planning des Séances Tutorat et EB : ICI !
Errata : Séances Tutorat et EB, Annatuts, Ronéos
Centres de Téléchargement : ICI !
Réponses des Profs : ICI !
Annales : Achat, Corrections Officieuses
Annatuts : 2025-2026, Sommaire
MCC 25/26 : ICI
Candidature MMOPK : ICI
Terminale Santé : ICI

INSCRIPTIONS ATELIERS ORAUX : Ici

SUJETS EB SEMESTRE 2 : Ici

Newsletter : ICI


Exercice 2 réactivité avancée


Exercice 2 réactivité avancée

Messagepar BlackJesus » 29 Déc 2011, 10:20

Bonjour;

Je ne comprend pas ces étapes de la formation du 2,3 dihydroxypropanal

Capture d’écran 2011-12-29 à 09.18.54.png


Merci d'avance !
Image

Watigg "Tu es un vétéran ostéocyte"
Avatar de l’utilisateur
BlackJesus
Carabin No Life
 
Messages: 974
Inscription: 21 Juil 2011, 16:26

Re: Exercice 2 réactivité avancée

Messagepar ♠LX♠ » 29 Déc 2011, 11:59

Pour proteger une cetone ou un aldehyde il faut OHCH2CH2OH/H+ pour faire ce qu'on peut appeler "la tête d'oiseau".
Pour enlever cette protection il faut H+/H2O. Donc cette étape correspond au retour de la cetone ou de l'aldéhyde dans son etat original.
Tut' Orga 2011-2012
VP Communication Corpo des Carabins Niçois Avril 2012- Novembre 2012
VP Logistique et Secretaire Corpo des Carabins Niçois 2012- 2013
VP Event Critard Organisation Nicoise 2012- 2013
VP Soirée NISSA WEF 2014
Elu UFR 2013 - 2015
Avatar de l’utilisateur
♠LX♠
Administrateur
Administrateur
 
Messages: 1593
Inscription: 14 Juil 2010, 19:40

Re: Exercice 2 réactivité avancée

Messagepar BlackJesus » 29 Déc 2011, 12:05

Oui ça je l'avais compris (j'aurais due être plus précis j'avoue xD) mais je n'arrive pas a visualiser la réaction, celle avec le KMnO4 dilué qui normalement fais une osmolyse

Merci d'avance
Image

Watigg "Tu es un vétéran ostéocyte"
Avatar de l’utilisateur
BlackJesus
Carabin No Life
 
Messages: 974
Inscription: 21 Juil 2011, 16:26

Re: Exercice 2 réactivité avancée

Messagepar Buddy » 29 Déc 2011, 12:11

Ola

Alors,

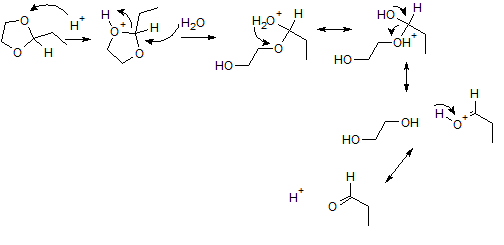
Réaction 3: KMnO4 dilué
Réaction sur alcène, aboutissant à des diols vicinaux, l'attaque peut se faire de chaque coté donc on met des liaisons en vague.

Réaction 4: H+, H2O
H+ se fixe sur un des 2 O du cycle et donc l'active, rendant le carbone pontant plus réactif, plus électrophile, du coup un des doublets non liant d'autre O se rabat sur C qui va relacher la liaison OH (O activé par H+).
Puis attaque de H2O.
Puis par un mécanisme un peu trop compliqué de tautoméries on va faire la même chose de l'autre coté avec les H de H2O qui vont bougé de l'autre coté pour former:
HO-CH2-CH2-OH et H+
EX - TuT'Orga et Ex - TuT'UE15
Failure will never overtake me if my determination to succeed is strong enough
Avatar de l’utilisateur
Buddy
Carabin No Life
 
Messages: 820
Inscription: 24 Déc 2009, 10:18

Re: Exercice 2 réactivité avancée

Messagepar Buddy » 29 Déc 2011, 12:23

CADEAU!
Fichiers joints
Sans titre.png
Sans titre.png (5.98 Kio) Vu 897 fois
EX - TuT'Orga et Ex - TuT'UE15
Failure will never overtake me if my determination to succeed is strong enough
Avatar de l’utilisateur
Buddy
Carabin No Life
 
Messages: 820
Inscription: 24 Déc 2009, 10:18

Re: Exercice 2 réactivité avancée

Messagepar BlackJesus » 29 Déc 2011, 14:18

Parfait merci xavier et audrey !
Image

Watigg "Tu es un vétéran ostéocyte"
Avatar de l’utilisateur
BlackJesus
Carabin No Life
 
Messages: 974
Inscription: 21 Juil 2011, 16:26


Retourner vers Chimie Organique



Qui est en ligne

Utilisateurs parcourant ce forum: Aucun utilisateur enregistré et 0 invités