Le Guide pour bien débuter la LAS : Ici

Tutoriel Forum : Ici

Planning des Séances Tutorat et EB : ICI !
Errata : Séances Tutorat et EB, Annatuts, Ronéos
Centres de Téléchargement : ICI !
Réponses des Profs : ICI !
Annales : Achat, Corrections Officieuses
Annatuts : 2025-2026, Sommaire
MCC 25/26 : ICI
Candidature MMOPK : ICI
Terminale Santé : ICI

CORRECTION ST 4 : Ici

Newsletter : ICI


tutorat 4 : QCM 6


tutorat 4 : QCM 6

Messagepar Daphalgan » 20 Mar 2021, 16:30

Salut !

Pour le QCM 6, j'ai compté juste les items C et D : " Elle possède un système conjugué π-σ-n" et "L’oxygène de cette molécule est impliqué dans un effet mésomère" car si on tient compte du fait que les electrons du système conjugué pi-sigma-pi vont se déplacer, la double liaison va donc pouvoir se déplacer vers la droite et il y aura un enchenement n-sigma-pi ?
C'est faux de raisonner comme ça ? Pour savoir si des systèmes sont conjugués, il ne faut pas tenir compte des éventuelles délocalisations qui auraient pu les engendrer ?

Merci
Avatar de l’utilisateur
Daphalgan
Carabin addicted
 
Messages: 1346
Inscription: 21 Aoû 2020, 08:34

Re: tutorat 4 : QCM 6

Messagepar Inaamniocentèse » 20 Mar 2021, 18:32

Coucou!
+1, j'ai compté CD juste aussi vu que pour moi y'a un système conjugué non?
Inaamniocentèse
Tut' Embryo
Tut' Embryo
 
Messages: 336
Inscription: 20 Aoû 2020, 18:04

Re: tutorat 4 : QCM 6

Messagepar CyCloéXane » 21 Mar 2021, 10:17

Hello !

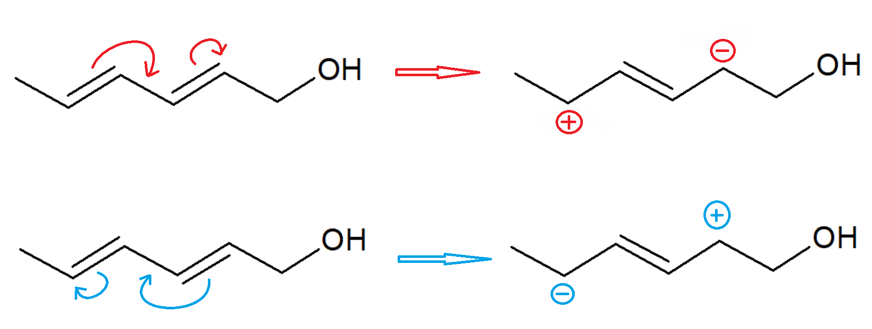
Je comprends votre raisonnement mais ce qu'il y a c'est que les liaisons doubles ne se déplacent pas n'importe comment !
Je vous ai fait un schéma des deux mésoméries pi-sigma-pi possibles :

mésomérie oxygène.PNG

Du coup on voit bien que même après délocalisation il n'y a pas de système conjugué possible avec l'oxygène.

Pour savoir si des systèmes sont conjugués, il ne faut pas tenir compte des éventuelles délocalisations qui auraient pu les engendrer ?

Du coup oui, il faut en tenir compte, mais ici ce n'était pas le cas :(
Désolée si vous n'avez pas eu le QCM à cause de ça!

C'est plus clair ? :highfive:
<3 VP Solidarité internationale Humanice 2021-2022 <3

:atome: Tutrice & Ronéiste de Chimie 2020-2021 :atome:

:highfive:
Avatar de l’utilisateur
CyCloéXane
Tut' Chimie
Tut' Chimie
 
Messages: 654
Inscription: 24 Aoû 2019, 17:04
Localisation: Dans un tube à essais

Re: tutorat 4 : QCM 6

Messagepar Daphalgan » 21 Mar 2021, 11:00

Ok merci
Du coup est-ce que ce raisonnement est juste par rapport au schéma (en haut à gauche) ?
Quand la double liaison se déplace d'un cran à droite, le 2ème carbone qui était CH (tétravalent) perd un électron, donc il est toujours CH mais plus tétravalent (d'où la charge +).
La double liaison qui s'est déplacée a déplacé l'autre double liaison et le 5ème carbone a gagné un electron supplémentaire d'où la charge négative. Donc la liaison ne s'est pas vraiment décalée à proximité de l'oxygène pour avoir l'enchainement n-sigma-pi.

Merci !
Avatar de l’utilisateur
Daphalgan
Carabin addicted
 
Messages: 1346
Inscription: 21 Aoû 2020, 08:34

Re: tutorat 4 : QCM 6

Messagepar CyCloéXane » 21 Mar 2021, 11:16

Oui voilà c'est ça !
<3 VP Solidarité internationale Humanice 2021-2022 <3

:atome: Tutrice & Ronéiste de Chimie 2020-2021 :atome:

:highfive:
Avatar de l’utilisateur
CyCloéXane
Tut' Chimie
Tut' Chimie
 
Messages: 654
Inscription: 24 Aoû 2019, 17:04
Localisation: Dans un tube à essais

Re: tutorat 4 : QCM 6

Messagepar Daphalgan » 21 Mar 2021, 11:19

Ok merci !
Avatar de l’utilisateur
Daphalgan
Carabin addicted
 
Messages: 1346
Inscription: 21 Aoû 2020, 08:34


Retourner vers Tutorats & Examens blancs



Qui est en ligne

Utilisateurs parcourant ce forum: Aucun utilisateur enregistré et 1 invité