
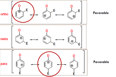
Lorsque tu as un groupement donneur (+I ou +M), tu vas pouvoir orienter en ortho ou para car ça active/stabilise le carbocation formé par l'intermédiaire de Wheland.
Exemple 1 : si tu places ton electrophile en ortho, tu auras le carbocation directement relié à ton groupement activateur, qui est donneur d'électrons.
Exemple 2 : si tu places ton electrophile en para, tu auras ton carbocation en méta. Après une mésomérie v - sigma - pi ton carbocation se retrouve relié directement à ton groupement activateur.
Exemple 3 : si tu places ton électrophile en méta, tu auras un carbocation ou en ortho ou en para. Et qu'importe ta mésomérie, jamais ton carbocation ne sera positionné au côté de ton groupement activateur ou désactivateur.
Donc tu comprends mieux pourquoi, dès lors que tu as un groupement donneur, il sera dit activateur car il stabilisera le carbocation intermédiaire de Wheland et ça orientera ainsi l'électrophile en ortho/para.
En revanche, dès lors qu'on a un groupement attracteur, il sera désactivant car déstabilisera le carbocation encore plus. On fera donc tout pour éviter de placer le carbocation intermédiaire à ses côtés, on orientera donc l'électrophile en méta dans ce cas là.
Mais attention à l'exception !!! Les halogènes !!
Leur effet inductif attracteur est plus fort à leur effet mésomère donneur.
---> On pourrait penser qu'ils seront désactivants donc orienteraient en méta... mais il n'en est rien ! Avec les halogènes on oriente en ortho/para à cause de leur effet +M, mais la réaction sera tout de même difficile à réaliser à cause de la puissance de leur effet -I, donc elle sera + lente, mais réalisable
.J'ai pris un peu de temps pour mieux l'expliquer, là je pense que c'est archi-clair
N'hésitez tout de même pas à préciser vos questions si quelques choses de mon raisonnement vous chagrine 



