Coucou !
Alors pour résoudre ces QCM, c'est une histoire de carbones asymétriques.
QCM 21 :
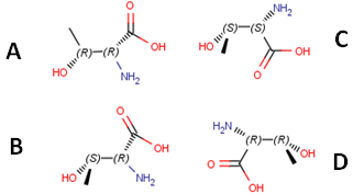
La molécule X possède deux carbones asymétriques : "R" à droite et "R" à gauche.
On va maintenant transposer la molécule Y sous forme de CRAM. Si la liaison C—C centrale (celle qui est cachée sur la représentation de Newman) était le groupement minoritaire, nous aurions pu nous passer de cette étape et lire directement le sens de rotation des groupements.
Mais ici ce n'est pas le cas ! Donc nous allons en fait faire faire un quart de tour à la molécule, de manière à pouvoir observer la liaison C—C centrale de face.
Cela donne :

- Image 8.png (5.94 Kio) Vu 683 fois
Tu trouves donc "R" à droite et "S" à gauche.
Et là je te laisse aller voir la définition des stéréo-isomères et composés méso un peu plus bas

! Si ça ne suffit pas je te ferai un topo.
QCM 22 :
Même mayonnaise. Ce QCM est un peu long pour tomber au concours à mon goût !
Je te laisse quand même essayer de le résoudre avec ces quelques indices :
• Sur une représentation de Fischer, les liaisons horizontales sont dirigées vers l'avant, et les liaisons verticales situées en bout de chaîne sont dirigées vers l'arrière.
• Deux molécules sont diastéréo-isomères si elles ne diffèrent que la par la configuration d'un (et unique!) carbone asymétrique. (Ex : SS vs RS)
• Deux molécules sont énantiomères si tous leurs carbones asymétriques sont inversés. (Ex : RR vs SS)
• Deux molécules sont stéréo-isomères de conformation lorsque deux molécules ne diffèrent que par la rotation autour de liaisons simples (rappel : ces liaisons peuvent tourner à l'infini, on ne s'arrête donc qu'à la "forme" de la molécule à un instant t).
Voilà voilà bonne chance
