C'est totalement... pas possible
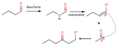
Si jamais on attaque le carbone en alpha, on obtiendrait ceci :

- uhu.png (1.77 Kio) Vu 396 fois
PS : avec H2O on retrouve le -OH.
EDIT : ah ouais... mais c'est identique à la molécule du dessus xD...
Et je me suis posé la même question que toi en faisant le DM........
D'une part : on a un carbone plus substitué.
---> Et par la réaction de crotonisation qui suit, on aura un alcène plus substitué.
D'autre part, on obtient une cétone, qui devient moins réactive qu'un aldéhyde.
Ensuite le fait que l'alcène soit impliquée dans une mésomérie dans les 2 cas, la différence de stabilité est très minime.
Mais bon... avec le LiAlH4, H2O : on aurait je ne sait pas quoi sur notre molécule et ça deviendrait un massacre.
Il n'en demeure pas moins que tu as touché un point très sensible de cette chaine réactionnelle
Walà :')