Le Guide pour bien débuter la LAS : Ici

Tutoriel Forum : Ici

Planning des Séances Tutorat et EB : ICI !
Errata : Séances Tutorat et EB, Annatuts, Ronéos
Centres de Téléchargement : ICI !
Réponses des Profs : ICI !
Annales : Achat, Corrections Officieuses
Annatuts : 2025-2026, Sommaire
MCC 25/26 : ICI
Candidature MMOPK : ICI
Terminale Santé : ICI

RÉSULTATS EB 5 : Ici

Newsletter : ICI


Ronéo n°2 page 10: Contrainte liaison peptique


Ronéo n°2 page 10: Contrainte liaison peptique

Messagepar LucasDuch » 19 Sep 2012, 21:27

Bonsoir,
Alors voila dans la ronéo on nous dit que "Au niveau de cette liaison le groupement COOH qui donne une cétone et le groupement NH les un à coté des autres. Le groupement NH et l'oxygène du COOH ont tous deux une valence libre qui vont intervenir dans la structure secondaire des protéines"
le ont tous deux une valence libre veut dire que la dernière couche de valence n'est pas complète ou pas du tous?
Merci
LucasDuch
Carabin débutant
 
Messages: 43
Inscription: 27 Aoû 2012, 22:14

Re: Ronéo n°2 page 10: Contrainte liaison peptique

Messagepar Alistair » 19 Sep 2012, 23:19

Slt !

Cette phrase a été dite dans le feu de l'action, il ne faut pas l'apprendre telle qu'elle^^
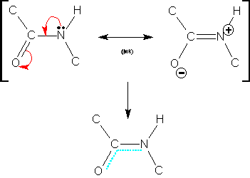
Ce qu'elle veut dire c'est qu'il y a une possibilité de conjugaison/résonance/mésomérie (choisis le terme que tu veux^^) entre le groupement "=O" (appelé à tord cétone...) et le groupement NH au niveau de la liaison peptidique ! :arrow: O=CR-NH- ou -O-CR=NH+-

Le -NH- possède un doublet non liant dans sa structure électronique, ce doublet non liant peut être délocalisé en double liaison encore le N (qui porte alors une charge +) et le C (porteur du =O). Dan ce cas la double liaison passe sur l'atome de O en tant que doublet non liant et donc le =O se transforme en -O (avec une charge négative sur le O).

Si tu veux en gros : sur la couche de valence du N et du =O, tu as 2 électrons qui va tout le temps se déplacer. Tantôt ils seront sur l'atome en tant que doublet non liant, tantôt il sera sous forme de laison pi = double.
lpreson.gif
lpreson.gif (2.78 Kio) Vu 736 fois


Okay ? Dans les ronéos, il y a tj à prendre et à laisser puisque à l'oral les profs disent parfois des choses peu rigoureuses pour simplifier !
Image
Avatar de l’utilisateur
Alistair
Gold Carabin
 
Messages: 2127
Inscription: 08 Juil 2011, 00:32
Localisation: Nice

Re: Ronéo n°2 page 10: Contrainte liaison peptique

Messagepar LucasDuch » 20 Sep 2012, 21:52

C'est encore un peu flou au niveau de la délocalisation des doublets non liant :?
en faite ils se délocalise pour laisser une valence de libre c'est sa?
LucasDuch
Carabin débutant
 
Messages: 43
Inscription: 27 Aoû 2012, 22:14

Re: Ronéo n°2 page 10: Contrainte liaison peptique

Messagepar Alistair » 21 Sep 2012, 13:52

Je pense que ce qui te perturbe c'est cette phrase prononcé par le prof mais ne te fixe pas dessus, ce qui est important de savoir et de comprendre c'est ce phénomène de déplacement d'électrons entre le O et le N de part et d'autre de la liaison peptidique ! Ces le phénomène de conjugaison qui fait que la liaison peptidique n'est pas vrmt un liaison simple ni double... C'est un mélange des deux ! Regarde le schéma que je t'ai joint dans le message précédent.

Il ne vous parlera pas de valence au concours, il vous demandera si la liaison peptidique est conjuguée par ex !
Après si tu veux parler de valence, on peut dire que le O et le N ont une valence libre effectivement dans le sens ou ils peuvent accepter un électron dans leur nuage électronique :
-le "=NH+" de la liaison peut accepter un électron sur sa dernière couche de valence (c'est le deuxième électron de la double liaison qui l'unit au C), on forme alors un "-NH"
- le "=O" peut aussi accepté le 2ème électron contenu dans la double liaison (je te rappele que dans la double liaison, il y a un électrons appartenant à l'O et le deuxième appartient au C) et il se forme un "-O" chargé négativement.
Ces déplacements d'électrons et cette formation/déformation d'électrons se fait en permanence dans un sens comme dans l'autre.

Voilà, ne t'attarde pas trop sur ça si tu n'as pas encore bien appris l'orga ! Les phénomène de mésoméries/conjgaison seront largement détaillés en orga ;)
Bon courage
Image
Avatar de l’utilisateur
Alistair
Gold Carabin
 
Messages: 2127
Inscription: 08 Juil 2011, 00:32
Localisation: Nice

Re: Ronéo n°2 page 10: Contrainte liaison peptique

Messagepar Alistair » 21 Sep 2012, 13:53

Je pense que ce qui te perturbe c'est cette phrase prononcé par le prof mais ne te fixe pas dessus, ce qui est important de savoir et de comprendre c'est ce phénomène de déplacement d'électrons entre le O et le N de part et d'autre de la liaison peptidique ! Ces le phénomène de conjugaison qui fait que la liaison peptidique n'est pas vrmt un liaison simple ni double... C'est un mélange des deux ! Regarde le schéma que je t'ai joint dans le message précédent.

Il ne vous parlera pas de valence au concours, il vous demandera si la liaison peptidique est conjuguée par ex !
Après si tu veux parler de valence, on peut dire que le O et le N ont une valence libre effectivement dans le sens ou ils peuvent accepter un électron dans leur nuage électronique :
-le "=NH+" de la liaison peut accepter un électron sur sa dernière couche de valence (c'est le deuxième électron de la double liaison qui l'unit au C), on forme alors un "-NH"
- le "=O" peut aussi accepté le 2ème électron contenu dans la double liaison (je te rappele que dans la double liaison, il y a un électrons appartenant à l'O et le deuxième appartient au C) et il se forme un "-O" chargé négativement.
Ces déplacements d'électrons et cette formation/déformation d'électrons se fait en permanence dans un sens comme dans l'autre.

Voilà, ne t'attarde pas trop sur ça si tu n'as pas encore bien appris l'orga ! Les phénomène de mésoméries/conjgaison seront largement détaillés en orga ;)
Bon courage
Image
Avatar de l’utilisateur
Alistair
Gold Carabin
 
Messages: 2127
Inscription: 08 Juil 2011, 00:32
Localisation: Nice

Re: Ronéo n°2 page 10: Contrainte liaison peptique

Messagepar LucasDuch » 21 Sep 2012, 22:14

Ok ok
Merci sava mieux maintenant
LucasDuch
Carabin débutant
 
Messages: 43
Inscription: 27 Aoû 2012, 22:14


Retourner vers Biochimie



Qui est en ligne

Utilisateurs parcourant ce forum: Aucun utilisateur enregistré et 2 invités