Salut,
Il faut pour comprendre, se rappeler de ses cours de
Tle S sur la dynamique.1) On fait l'inventaire des forces s’exerçant sur l'objet. Ici le boulet n'est soumis qu'à son poids.
2) On utilise le PFD (ou 2nd Loi de Newton) ce qui donne
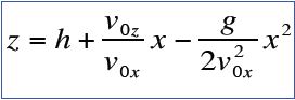
Puis en éliminant t:

- PFD(2).JPG (12.75 Kio) Vu 128 fois
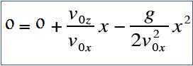
z: représente l'altitude du projectile; tu es d'accord que si l'on recherche son point d'impact au sol z=0 ?
h: représente l'altitude initiale où a été tiré le boulet; on choisit de le tirer par rapport au sol donc de choisir h=0
x: la distance d'impact que l'on recherche
Ce qui donne un polynome de 2nd degré sans constante:

- PFD(3).jpg (12.34 Kio) Vu 128 fois
Tu peux maintenant trouver x en résolvant l'équation qui est sensé se simplifier en deux équation du premier degrés.
Même si le prof mets cette exemple dans le cours, je doute que l'on puisse vraiment faire un qcm de ce genre en moins de 2 minutes... Mais bon, il sont fou ces physiciens!
C'est un peu dur à comprendre comme ça et à expliquer aussi donc je t'invite si tu as encore des questions à venir voir un tuteur à la fin de la première séance du tutorat.