Le Guide pour bien débuter la LAS : Ici

Tutoriel Forum : Ici

Planning des Séances Tutorat et EB : ICI !
Errata : Séances Tutorat et EB, Annatuts, Ronéos
Centres de Téléchargement : ICI !
Réponses des Profs : ICI !
Annales : Achat, Corrections Officieuses
Annatuts : 2025-2026, Sommaire
MCC 25/26 : ICI
Candidature MMOPK : ICI
Terminale Santé : ICI

CORRECTION ST 4 : Ici

Newsletter : ICI


carbonne asymetrique des acides aminés


carbonne asymetrique des acides aminés

Messagepar ab.ben :) » 04 Fév 2025, 11:12

Salut !!

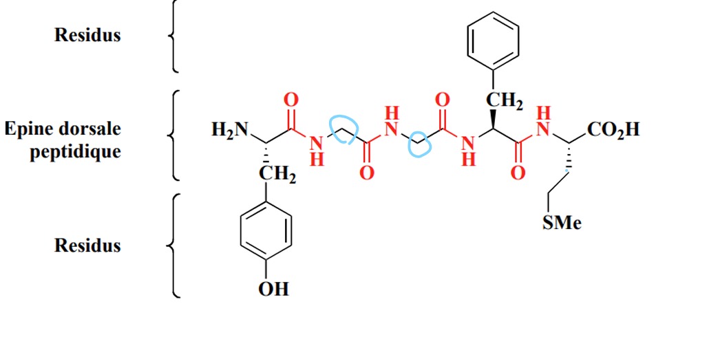
Y'a un truc que j'ai pas compris sur la fiche de chimie therapeutique, en fait, je ne comprend pas pourquoi dans l'acide aminée que t'as mis en exemple à la page 6, il y a deux carbonnes qui n'ont pas de chaines laterales (or ils sont censé etre asymetrique les cabonnes des aa)
Ce sont ceux entourés en bleu dans le fichier.

Merci d'avance pour la reponse!! :D
Fichiers joints
Capture d’écran_4-2-2025_11928_.jpeg
Capture d’écran_4-2-2025_11928_.jpeg (40.19 Kio) Vu 16 fois
ab.ben :)
Carabin débutant
 
Messages: 30
Inscription: 20 Sep 2024, 10:01

Re: carbonne asymetrique des acides aminés

Messagepar Jadextrine » 07 Fév 2025, 21:25

Salut,

Alors, pour le coup les 2 AAs au centre de la met-encephaline, sont DEUX GLYCINES, ET comme tu as dû le voir au S1 en bioch, tous les acides aminés ont un carbone asymétrique SAUF la GLYCINE , qui ne possède pas 4 grp différents car elle a deux H.

Les autres acides aminés dans le schéma ont bien un carbone asymétrique, avec 4 grp bien différents ( tu ne vois pas les H car on est en formule topologique).

Je t'ai mis un schéma, en détaillant la molécule...

N'hésite pas si besoin !

Bonne soirée :coeur:
Fichiers joints
METENCEPHALINE.png
METENCEPHALINE.png (188.93 Kio) Vu 9 fois
Jadextrine
Tut' Pharmacie
Tut' Pharmacie
 
Messages: 82
Inscription: 23 Aoû 2023, 23:22
Localisation: Vers la lumière


Retourner vers Chimie Thérapeutique



Qui est en ligne

Utilisateurs parcourant ce forum: Aucun utilisateur enregistré et 1 invité