Le Guide pour bien débuter la LAS : Ici

Tutoriel Forum : Ici

Planning des Séances Tutorat et EB : ICI !
Errata : Séances Tutorat et EB, Annatuts, Ronéos
Centres de Téléchargement : ICI !
Réponses des Profs : ICI !
Annales : Achat, Corrections Officieuses
Annatuts : 2025-2026, Sommaire
MCC 25/26 : ICI
Candidature MMOPK : ICI
Terminale Santé : ICI

CORRECTION ST 4 : Ici

Newsletter : ICI


Ronéo 5 p5


Ronéo 5 p5

Messagepar Skiini » 21 Nov 2013, 13:28

Re :)

Soit j'ai pas compris, soit il y a une petite erreur sur cette page :) Pour l'exemple 4, il est dit "le souffre substitue l'oxygène" or le souffre a une charge partielle plutot positif, et le carbone qui lui est associé négatif, donc c'est plutôt le carbone le nucléophile (d'ailleurs c'est écrit dans la ronéo)
Donc est ce que ce serai pas plutôt "le carbone associé au souffre substitue l'oxygène"?

Edit : Derniere question : Normalement dans le cas de base faible, carbone primaire et nucléophile faible, on a pas de réaction... Mais avec les alcools on a bien une E1 en présence de proton et de chauffage, donc c'est une exception?

Merci d'avance !!
Dernière édition par Skiini le 22 Nov 2013, 07:25, édité 1 fois.
Image
Avatar de l’utilisateur
Skiini
Tut' Biostat
Tut' Biostat
 
Messages: 527
Inscription: 10 Aoû 2012, 19:54

Re: Ronéo 5 p5

Messagepar AhmedT » 21 Nov 2013, 22:43

Salut :)

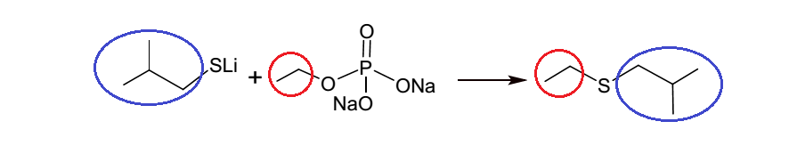
Ce sera plus simple ac un shéma

Skiini.png
Skiini.png (10.63 Kio) Vu 100 fois


Le soufre substitue bien l'O. La liaison C-O est très difficile à briser, du coup on utilise le PO3-, qui facilitera le départ de l'oxygène.
Concernant la polarisation C-S, elle est très faible, les électronégativités sont très proche (pas à savoir). Le souffre attaquera pdt ce tps là le C liant l'oxygène, S- est un très très bon nucléophile (SN2 ici)

Skiini a écrit:Edit : Dernière question : Normalement dans le cas de base faible, carbone primaire et nucléophile faible, on a pas de réaction... Mais avec les alcools on a bien une E1 en présence de proton et de chauffage, donc c'est une exception?


Comme je te l'ai dis la liaison C-OH est très difficile à briser. Ici, Le proton se fixera à l'alcool, donnant H2O+, facilement éliminable, t'auras une E1.

Bon pr toi?
Tuteur Chimie Organique 2013/2014
Ronéiste UE 15 2013/2014 - 2014/2015
Ronéiste Chimie Organique 2014/2015
Administrateur Forum 2016/2017


" We are all stories in the end, just make it a good one, eh "

Image
Avatar de l’utilisateur
AhmedT
CM Forum
 
Messages: 515
Inscription: 23 Oct 2011, 14:15

Re: Ronéo 5 p5

Messagepar Skiini » 22 Nov 2013, 07:25

Parfait merci :)
Image
Avatar de l’utilisateur
Skiini
Tut' Biostat
Tut' Biostat
 
Messages: 527
Inscription: 10 Aoû 2012, 19:54


Retourner vers Chimie Organique



Qui est en ligne

Utilisateurs parcourant ce forum: Aucun utilisateur enregistré et 0 invités