Le Guide pour bien débuter la LAS : Ici

Tutoriel Forum : Ici

Planning des Séances Tutorat et EB : ICI !
Errata : Séances Tutorat et EB, Annatuts, Ronéos
Centres de Téléchargement : ICI !
Réponses des Profs : ICI !
Annales : Achat, Corrections Officieuses
Annatuts : 2025-2026, Sommaire
MCC 25/26 : ICI
Candidature MMOPK : ICI
Terminale Santé : ICI

INSCRIPTIONS ATELIERS ORAUX : Ici

SUJETS EB SEMESTRE 2 : Ici

Newsletter : ICI


Projection Fisher/ formule développée


Projection Fisher/ formule développée

Messagepar Ben_ » 17 Déc 2013, 11:35

Bonjour ! :)
Alors tout d'abord jsuis désolé si cette question a déja été posée mais je savais pas quoi mettre dans la fonction de recherche pour trouver ce que je voulais x)
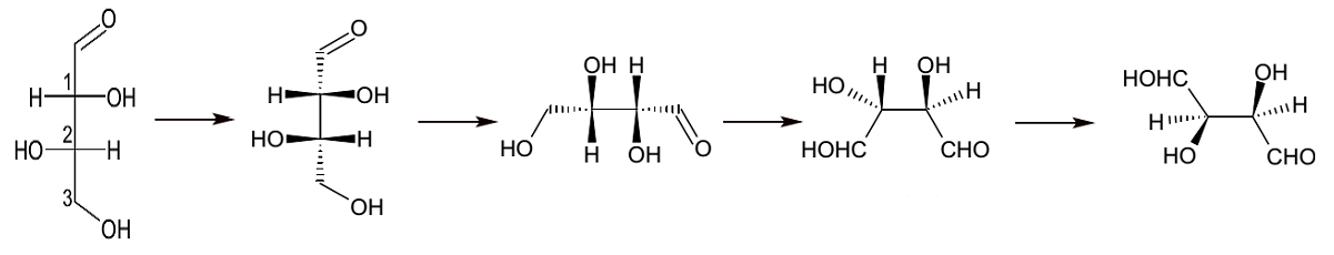
J'aurais aimé comprendre comment on peut passer d'une projection de fisher à une formule développée "normale" parce que dans la ronéo il est dit que tout ce qui est horizontal est en avant et tout ce qui est verticale est en arrière mais en essayant de faire la molécule bah je tombe sur un truc indigeste et j'y comprends rien du tout ..
Y a t-il une méthode ? ou comment faut il faire ?
Merci d'avance ! :D
Ben_
Apprenti Carabin
 
Messages: 112
Inscription: 10 Sep 2013, 21:52

Re: Projection Fisher/ formule développée

Messagepar AhmedT » 17 Déc 2013, 11:44

Salut :)

Voilà un vieux schéma que j'ai fais, est ce qu'il te permet de mieux comprendre?
Ex 1 p8.png


Si tu veux des explications supplémentaires, n'hésite pas
Tuteur Chimie Organique 2013/2014
Ronéiste UE 15 2013/2014 - 2014/2015
Ronéiste Chimie Organique 2014/2015
Administrateur Forum 2016/2017


" We are all stories in the end, just make it a good one, eh "

Image
Avatar de l’utilisateur
AhmedT
CM Forum
 
Messages: 515
Inscription: 23 Oct 2011, 15:15

Re: Projection Fisher/ formule développée

Messagepar Ben_ » 17 Déc 2013, 12:22

Bah en fait non, je parlais pas de la projection de newman mais de la projection de fisher celle qui a une forme "d'arrete de poisson" ^^
Ben_
Apprenti Carabin
 
Messages: 112
Inscription: 10 Sep 2013, 21:52

Re: Projection Fisher/ formule développée

Messagepar AhmedT » 17 Déc 2013, 12:37

Ok mdr dsl, on me parle tellement de Newman qu'à force je ne vois plus les autres

Donc Fischer :
Aide révisions.png


Fischer c'est une vue de dessus. Les substituants en haut et en bas sont en arrière, ceux sur les côtés sont en avant.
Par bascule tu met ta liaison C-C horizontalement, puis par rotation successives tu retrouves ta configuration Cram
(C'est assez dur à expliquer à l'écrit, l'exemple est tiré du DM 1)

Voilà, c'est mieux? T'as besoin de détail sur une étape particulière ?
Tuteur Chimie Organique 2013/2014
Ronéiste UE 15 2013/2014 - 2014/2015
Ronéiste Chimie Organique 2014/2015
Administrateur Forum 2016/2017


" We are all stories in the end, just make it a good one, eh "

Image
Avatar de l’utilisateur
AhmedT
CM Forum
 
Messages: 515
Inscription: 23 Oct 2011, 15:15

Re: Projection Fisher/ formule développée

Messagepar Ben_ » 17 Déc 2013, 13:10

C'est bon, en fait ce qui coincait c'est que les liaisons C-C pour moi étaient en arrière de la meme facon que les liaisons avec CHO et CHOH. ^^
Et juste une autre question qui n'a pas de rapport,
Si C* : SN1 ni Stéréosélective si S-spécifique
Si C* : SN2 toujours S-sélective et S-spé (lorsqu'il y a une inversion de config)
Si C* : E1 : toujours régio et stéréo sélective
Si C* : E2 : toujours S-sélective et S-spécifique
C'est vrai ou ça n'a aucun rapport ?
Merci :D
Ben_
Apprenti Carabin
 
Messages: 112
Inscription: 10 Sep 2013, 21:52

Re: Projection Fisher/ formule développée

Messagepar AhmedT » 17 Déc 2013, 16:25

Ben_ a écrit:Si C* : SN1 ni Stéréosélective ni S-spécifique


Vrai

Ben_ a écrit:Si C* : SN2 toujours S-sélective et S-spé (lorsqu'il y a une inversion de config avec ou sans inversion de configuration)


Vrai, s'il y a rétention de configuration, ce sera le cas pr 100% des molécules formées, dc stéréosélectivité et stéréospécificité

Ben_ a écrit:Si C* : E1 : toujours régio et stéréo sélective


Oui, régiosélectivité pr former l'alcène le plus stable possible, et stéréosélectivité E question de stabilité aussi

Ben_ a écrit:Si C* : E2 : toujours S-sélective et S-spécifique


Oui, avec le proton en anti
Tu px aussi avoir régiosélectivité, si plusieurs protons placés en anti

Ca marche ? :)
Tuteur Chimie Organique 2013/2014
Ronéiste UE 15 2013/2014 - 2014/2015
Ronéiste Chimie Organique 2014/2015
Administrateur Forum 2016/2017


" We are all stories in the end, just make it a good one, eh "

Image
Avatar de l’utilisateur
AhmedT
CM Forum
 
Messages: 515
Inscription: 23 Oct 2011, 15:15

Re: Projection Fisher/ formule développée

Messagepar Ben_ » 17 Déc 2013, 16:41

J'ai pas compris le coup de la régiosélectivité en E2 si plusieurs protons placés en anti ? O.o Parce que techniquement si c'est que des protons ça peut pas etre dissymétrique et du coup ça peut pas etre régiosélectif si ? :)
Ben_
Apprenti Carabin
 
Messages: 112
Inscription: 10 Sep 2013, 21:52

Re: Projection Fisher/ formule développée

Messagepar AhmedT » 17 Déc 2013, 19:46

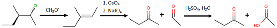
Regarde cet exemple des Annatut:

Aide révisions.png

Réponse:
Aide révisions.png

La réaction 1 est uen E2, t'as bien une base forte qui arrachera un proton en anti.
Ici, tu as régiosélectivité, H pt provenir de 2 carbones différents, un en bas, l'autre à gauche.
Tu choisiras celui de gauche de manière à ce que ta double liaison soit la plus subtitué.
Tuteur Chimie Organique 2013/2014
Ronéiste UE 15 2013/2014 - 2014/2015
Ronéiste Chimie Organique 2014/2015
Administrateur Forum 2016/2017


" We are all stories in the end, just make it a good one, eh "

Image
Avatar de l’utilisateur
AhmedT
CM Forum
 
Messages: 515
Inscription: 23 Oct 2011, 15:15

Re: Projection Fisher/ formule développée

Messagepar Ben_ » 17 Déc 2013, 23:58

Ok nickeeel :D Merci beaucoup en tout cas ! :D
Ben_
Apprenti Carabin
 
Messages: 112
Inscription: 10 Sep 2013, 21:52


Retourner vers Chimie Organique



Qui est en ligne

Utilisateurs parcourant ce forum: Aucun utilisateur enregistré et 1 invité