! Alors voila j'ai une petite liste de questions par rapport au cours 2 de bioch et à la ronéo 2 de l'année dernière:(Pas facile de me faire comprendre désolé...)
Voilaaaaaa mercii

! Alors voila j'ai une petite liste de questions par rapport au cours 2 de bioch et à la ronéo 2 de l'année dernière:

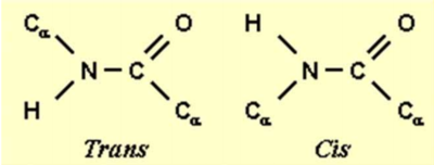
Guidicelli pour a bien expliqué que la structure primaire d'une protéine étais formée de manière à avoir un moindre encombrement stérique (donc en configuration TRANS) .. Or d'après ce que j'ai compris les chaines latérales des AA polaires sont du coté exterieur alors que les chaines latérales des AA apolaires sont dirigé vers le centre (pour formé un coeur hydrophobe) ! Imaginons qu'on a une protéine avec QUE des AA apolaires, logiquement les chaines latérales vont toutes se mettre du même coté, donc est ce qu'on considère que c'est quand même en configuration TRANS ?
(Pas facile de me faire comprendre désolé...)![]()
(Juste pour confirmation) Les Exopeptidases coupe juste LA liaison coté N-ter (ou C-ter) ? Ca coupe juste 1 liaison et pas toutes à partir de N-ter (ou C-ter), c'est bien ca ?
:arrow: Dans la ronéo 2 page 5, je ne comprend pas pourquoi à ph<=7 on a une charge de -1 (j'aurai dit charge nulle)
Dans la ronéo 2 page 8, on dis "On a une organisation supra moléculaire pour certaines protéines, c'est la structure quaternaire" Donc si on a un qcm du genre "Toutes les protéines possèdent une structure 1aire, 2aire, 3aire et 4aire" c'est faux ?
Dans la ronéo 2 page 10 on nous dis "les chaines latérales sont projetés à l'exterieur de l'hélice alpha" donc toutes les chaines latérales sont du même coté? Donc configuration CIS ? Donc fort encombrement ?
![]()


suffit de compter: NH3+ COO- et le second COO- de la chaine latérale = -1
(Oui je ne sais plus compter)
..


Nono006 a écrit:Guidicelli pour a bien expliqué que la structure primaire d'une protéine étais formée de manière à avoir un moindre encombrement stérique (donc en configuration TRANS) .. Or d'après ce que j'ai compris les chaines latérales des AA polaires sont du coté exterieur alors que les chaines latérales des AA apolaires sont dirigé vers le centre (pour formé un coeur hydrophobe) !Imaginons qu'on a une protéine avec QUE des AA apolaires, logiquement les chaines latérales vont toutes se mettre du même coté, donc est ce qu'on considère que c'est quand même en configuration TRANS ?
Nono006 a écrit:(Juste pour confirmation) Les Exopeptidases coupe juste LA liaison coté N-ter (ou C-ter) ? Ca coupe juste 1 liaison et pas toutes à partir de N-ter (ou C-ter), c'est bien ca ?
Nono006 a écrit:Dans la ronéo 2 page 5, je ne comprend pas pourquoi à ph<=7 on a une charge de -1 (j'aurai dit charge nulle)
Nono006 a écrit:Dans la ronéo 2 page 8, on dis "On a une organisation supra moléculaire pour certaines protéines, c'est la structure quaternaire" Donc si on a un qcm du genre "Toutes les protéines possèdent une structure 1aire, 2aire, 3aire et 4aire" c'est faux ?
Nono006 a écrit:Dans la ronéo 2 page 10 on nous dis "les chaines latérales sont projetés à l'exterieur de l'hélice alpha" donc toutes les chaines latérales sont du même coté? Donc configuration CIS ? Donc fort encombrement ?
Utilisateurs parcourant ce forum: Aucun utilisateur enregistré et 0 invités