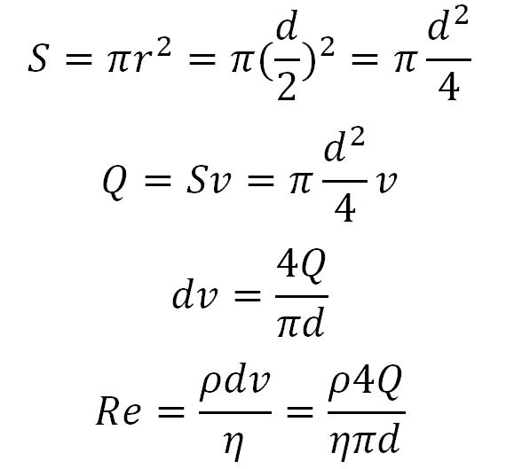
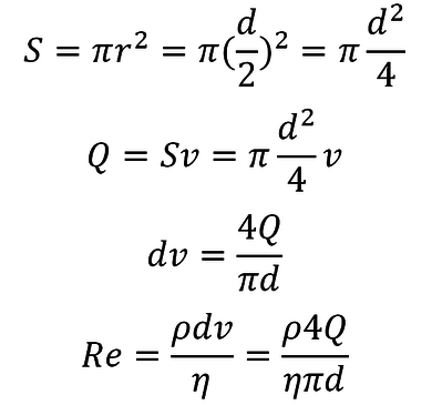
Il existe deux formules pour caractériser le nombre de Reynolds, dans lesquelles d le diamètre du conduit se trouve tantôt au numérateur, tantôt au dénominateur. De ce fait je ne sais pas bien quels sont les effets de sa variation sur Re.. De plus, dans le cours 1, le prof dit que lorsque d augmente, le risque de turbulence augmente; alors que dans le cours 2, il dit que lorsque d diminue, le risque d'appariton d'un souffle (soit une turbulence) augmente. Je suis un peu perdue là, help please





