Coucou,
Je te l'annonce ca va pas etre du gateau pour te faire comprendre ça lol
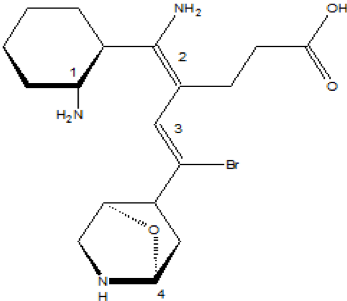
Quand tu as ta molécule :

- Capture d’écran 2012-08-31 à 09.56.47.png (18.78 Kio) Vu 458 fois
Regardons le petit 1 Ton carbone est entouré d'un NH2 en avant, de 2 CH3 et d'un H en arrière (on le devine car c'est la 4ème liaison qu'on ne voit pas et comme rien d'autre est en arrière on le dit en arrière, en fait les H on les écrit jamais quand ils sont en arrière

)
Bon on classe par ordre du plus fort au plus faible tes liaisons :a = le plus fort = NH2
d = H le plus faible Le plus dur va etre de placer b et c :
Quand on se décale sur la gauche à partir du C on tombe sur un CH3
Quand on décale sur la droite on tombe aussi sur un CH3
Quand a partir du CH3 à gauche on redécale on tombe sur un autre CH3
Quand à partir du CH3 à droite on redécale on tombe sur un autre CH3
ET LA :
Quand on redécale a gauche on a un CH3
Quand on redécale à droite on a un NH2 = VAINQUEUR !!!!! donc b = liaison de droite
c = liaison de gauche
là on va tourner dans l'autre a, b, c, d et on remarque qu'
on tourne vers la gauche donc S (pour sinistra en italien stu veux, R serait right pour droite en anglais)
On a de la chance le petit "d" est en arrière donc on change pas S mais si le petit "d" (ici H) était en avant on aurait dit que S devenait R (c'est une règle à apprendre
)Voilà j'espère t'avoir aider

Gros bisous !!!
PS : dans l'image tu peux t'entrainer a faire le 4 car 2 et 3 c'est déterminer si c'est Z ou si c'est E
