Le Guide pour bien débuter la LAS : Ici

Tutoriel Forum : Ici

Planning des Séances Tutorat et EB : ICI !
Errata : Séances Tutorat et EB, Annatuts, Ronéos
Centres de Téléchargement : ICI !
Réponses des Profs : ICI !
Annales : Achat, Corrections Officieuses
Annatuts : 2025-2026, Sommaire
MCC 25/26 : ICI
Candidature MMOPK : ICI
Terminale Santé : ICI

INSCRIPTIONS ATELIERS ORAUX : Ici

SUJETS EB SEMESTRE 2 : Ici

Newsletter : ICI


Correction du concours 2012-2013 (édité le 01/01/13)


Correction du concours 2012-2013 (édité le 01/01/13)

Messagepar WatiGG » 23 Déc 2012, 01:12

Salut ! Pour mon 1337e message… (héhé), je finis en beauté (?) par la correction du concours de cette année !
Déjà un grand merci à Takumi qui a gentiment scanné le sujet !!
Cette correction est strictement officieuse et il peut y avoir des erreurs (m'enfin on espère que non !). Si vous en relevez, n'hésitez pas.

RÉSUMÉ :

1 BD
2 ABC
3 ACD
4 E
5 B
6 AD
7 C
8 ABD


QCM 1 : Les structures correctes (on ne demandait pas les structures de Lewis, donc pas obligés de représenter tous les atomes explicitement ni d'expliciter les DNL) :

Réponse : BD

A) FAUX : la perte d'un seul électron sur le soufre ne permet pas de former une case vacante, il aurait fallu en perdre au moins deux.
B) VRAI : rien ne me choque sur cette molécule, toutes les valences sont respectées
C) FAUX : un carbone brise la règle de l'octet (impossible pour les atomes de la 2de ligne!).
D) VRAI : le phosphore est ici en valence secondaire, donc capable d'effectuer 5 liaisons. Les charges sur les oxygènes sont également correctes… rien de flagrant !

________________________________________________________________________________________________________________


QCM 2 : R&S (il aurait pu vous demander le pont mais ne l'a pas fait, ouf ! :p)

Réponse : ABC

1S 2R 3S 4R

A) VRAI : a = O—R ; b = O—CH3 ; c = C—R. On trouve R à priori mais le groupement minoritaire étant dirigé en avant, on peut inverser et trouver S.
B) VRAI : a = 1 ; b = 3 ; c = CH3. On trouve S à priori mais le groupement minoritaire cause de nouveau une inversion.
C) VRAI : a = CH—R : carbone du haut (lié lui-même au plus grand nombre de carbones) ; b = 2 ; c = CH2—R (à gauche).
D) FAUX : a = CH—R (carbone du haut, même raison que pour l'item C) ; b = CH2—R ; c = CH3. Le groupement minoritaire est déjà en arrière, donc on garde R.

________________________________________________________________________________________________________________

QCM 3 : stéréo-isomérie

Réponse : ACD

Pour comparer, le mieux est de passer depuis la représentation de Newman en représentation de cram. On compare ensuite la configuration des carbones asymétriques !
Avec Fischer, si le subsituant intéressant (généralement OH ou NH) est vers la droite c'est R, et vers la gauche gauche c'est S !
Idem pour L et D (L à gauche et D à droite).

A) VRAI : a est S ; b est R. Les configurations absolues sont inversées de l'un à l'autre donc ils sont bien énantiomères.
B) FAUX : ce sont des stéréo-isomères de conformation.
C) VRAI : même explication que pour l'item A !
D) VRAI : Si a est énantiomère de c et que c est D… a sera L ! Pas besoin de s'embrouiller à faire la représentation !


________________________________________________________________________________________________________________

QCM 4 : items de cours

Réponse : E

A) FAUX : HO- est un mauvais nucléofuge.
B) FAUX : Le groupe NO2 possède un effet inductif attracteur et non pas donneur
C) FAUX : Le postulat de Hammond s'intéresse aux états de transition et non pas aux intermédiaires réactionnels (La structure de l'état de transition se rapproche de l'intermédiaire réactionnel le plus proche en énergie).
D) FAUX : polaire protique.


________________________________________________________________________________________________________________


QCM 5 : deux réactions.

Réponse : B

• a : on a une SN2 par attaque du soufre sur le carbone primaire portant le phosphate (carbone 5), phosphate qui est un assez bon nucléofuge. Le carbone en question est d'ailleurs rendu plus électrophile, donc plus réactif, par la présence de l'effet inductif attracteur de l'oxygène. C'est la force importante du nucléophile SH- qui dirige vers une SN2 au détriment d'une SN1 !

• b : C'est une déshydratation par mécanisme E1 en milieu acide (qui rend OH un bon groupe partant en passant par une forme H2O+). Elle est régiosélective, stéréosélective mais non stéréospécifique.

A) FAUX : carbone 5.
B) VRAI.
C) FAUX : elle n'est pas stéréosélective dans les produits majoritaires puisqu'elle ne peut aboutir à la formation d'alcène ni Z ni E. Par de prédominance donc !
D) FAUX : 2-méthyl-pent-2-ène !


________________________________________________________________________________________________________________


QCM 6 : Élimination sur cycle

Réponse : AD

La règle de Saytzev c'est "on formera de façon majoritaire l'alcène le plus stable au cours d'une élimination".

A) VRAI : la réaction 1 est bien une E2 : solvant polaire aprotique + base forte + halogénoalcane.
B) FAUX : la réaction 2 n'est pas une réaction d'élimination… elle n'est donc pas concernée par la règle de Saytsev !
C) FAUX : la réaction 2 est une addition passant par un carbocation plan, elle ne peut donc pas être stéréosélective, car l'attaque peut se faire de façon équiprobable d'un côté ou de l'autre.
D) VRAI.

Image 2.png
Image 2.png (17.66 Kio) Vu 6027 fois



________________________________________________________________________________________________________________


QCM 7 : Nomenclature et chiralité

Voici le 1,2-diméthylcyclohexane :
Image 3.png
Image 3.png (5.9 Kio) Vu 6027 fois


Réponse : C

A) FAUX, achiral (axe de symétrie). C'est un composé méso !
B) FAUX, ce serait son diastéréo-isomère. Cette molécule ne possède pas d'énantiomère puisque si on dessine l'énantiomère théorique, on retombe sur la molécule de départ !
C) VRAI, la dihydrogénation se faisant par un mécanisme syn, elle aboutit bien à ce composé.
D) FAUX, il est de configuration relative cis !


________________________________________________________________________________________________________________


QCM 8 : Chaîne réactionnelle

Réponse : ABD

Image 4.png


A) VRAI
B) VRAI
C) FAUX : hors sujet ? J'ai pas trop compris le sens de cet item
D) VRAI


________________________________________________________________________________________________________________


Voili-voilou, le sujet était assez difficile mais faisable, plutôt typique dans la difficulté finalement ! Et le prof a été sympa de vous épargner les aromatiques 8) !
On espère que le tutorat vous aura servi pour dompter au mieux ce sujet… Je retourne à mon dodo !
Ah oui, j'espère que je ne vous ai pas fait trop peur hier soir, et si vous voulez encore un peu de crème liquide vous savez où toquer ! Sans mauvais jeux de mots !

VIKTOR CRÈME !
Tuteur de chimie orga 2012-2013 retraité
VP G33K et VP Communication
BDE Médecine Nice 2013-2014

π-Carabins

Cliquez pour vous détendre.
Avatar de l’utilisateur
WatiGG
Administrateur
Administrateur
 
Messages: 1356
Inscription: 13 Sep 2010, 19:33

Re: Correction du concours 2012-2013

Messagepar Takumi » 23 Déc 2012, 01:36

Derien WatiGG et merci à vous pour l'aide que vous nous avez apporté durant ce semestre :D.
Je te souhaite de passez de bonnes vacances ^^
Avatar de l’utilisateur
Takumi
Carabin vétéran
 
Messages: 265
Inscription: 08 Sep 2011, 13:02

Re: Correction du concours 2012-2013

Messagepar Pounia » 23 Déc 2012, 11:07

Merci pour cette correction sortie rapidement !
Et WatiGG PLUS JAMAIS TA CREME, ça puait le mort et grace aux brillantes idées de Robin je m'en suis retrouvée partout sur le visage et dans les cheveux :')
bref, merci encore et bonnes vacances à tous !
C'est en pouniant qu'on devient Pounia rond.
Avatar de l’utilisateur
Pounia
Carabin No Life
 
Messages: 884
Inscription: 05 Sep 2011, 19:06

Re: Correction du concours 2012-2013

Messagepar Raboucho » 23 Déc 2012, 12:37

MERCI ;)
Image Image Image


CM Forum - 2015/2016


TUT' CHIMIE G et UE15 - 2014/2015 :arrow: à la retraite :crying:


:dance: N'oubliez pas de passer votre post en résolu svp :dance:


Image
Avatar de l’utilisateur
Raboucho
CM Forum
 
Messages: 2982
Inscription: 15 Aoû 2012, 22:01
Localisation: Donjon Marseillais

Re: Correction du concours 2012-2013

Messagepar Ludi » 23 Déc 2012, 12:55

grave dommage pour les aromatiques :( il nous a fait perdre du temps à réviser ça car en cours il nous avait promis un qcm dessus..c'est vache

bref merci pour la rapide correction :)
Avatar de l’utilisateur
Ludi
Gold Carabin
 
Messages: 2583
Inscription: 23 Juil 2010, 20:01
Localisation: Sur un tapis volant

Re: Correction du concours 2012-2013

Messagepar paul.mo » 25 Déc 2012, 20:10

slt slt merci pour la correction, mais pour QCM 3 je trouve a et b sont tout de de configuration R
Avatar de l’utilisateur
paul.mo
Apprenti Carabin
 
Messages: 122
Inscription: 27 Aoû 2012, 12:55

Re: Correction du concours 2012-2013

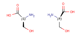
Messagepar Zhost » 26 Déc 2012, 20:04

Salut paul.mo

Voilà ce que j'ai trouvé pour la molécule a (celle de gauche) et b (celle de droite)

QCM 3 CC.png
QCM 3 CC.png (3.55 Kio) Vu 5547 fois


C'est good ?
Joyeuses fêtes et profitez un max de vos vacs :) !
Pensez bien à éditer votre question avec l'en-tête [Résolu] lorsque la réponse vous convient !

Image

In orga we drug
Avatar de l’utilisateur
Zhost
Carabin addicted
 
Messages: 1173
Inscription: 07 Sep 2010, 10:02

Re: Correction du concours 2012-2013

Messagepar oxaloacétate » 28 Déc 2012, 22:53

Salut,
Déjà merci pour cette correction :)
J'ai juste une question pour le qcm 5 :
- item B : pourquoi c'est une SN2 et pas une SN1 ? parce que ok on a un bon nucléophile SH-, mais on a aussi un très bon nucléofuge... :dont-know:
- item C : pour moi il est faux car l'élimination E1 n'est pas stéréosélective dans ce cas précis, puisqu'un obtient qu'un seul carbone asymétrique.
Merci d'avance ;)
oxaloacétate
Carabin Geek
 
Messages: 612
Inscription: 12 Aoû 2012, 23:04

Re: Correction du concours 2012-2013

Messagepar WatiGG » 01 Jan 2013, 20:24

oxaloacétate a écrit:- item B : pourquoi c'est une SN2 et pas une SN1 ? parce que ok on a un bon nucléophile SH-, mais on a aussi un très bon nucléofuge... :dont-know:


Parce que carbone primaire !

oxaloacétate a écrit:- item C : pour moi il est faux car l'élimination E1 n'est pas stéréosélective dans ce cas précis, puisqu'un obtient qu'un seul carbone asymétrique.


Oui en effet, elle n'est pas stéréosélective puisqu'on ne forme pas d'alcène Z ou E =) je corrige
Tuteur de chimie orga 2012-2013 retraité
VP G33K et VP Communication
BDE Médecine Nice 2013-2014

π-Carabins

Cliquez pour vous détendre.
Avatar de l’utilisateur
WatiGG
Administrateur
Administrateur
 
Messages: 1356
Inscription: 13 Sep 2010, 19:33


Retourner vers Chimie Organique



Qui est en ligne

Utilisateurs parcourant ce forum: Aucun utilisateur enregistré et 0 invités