Salut, salut!
Laisse moi te parler de la magie de
"ouais c'est à peut près ça":
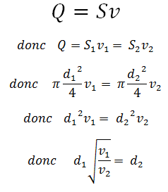
Commençons par le commencement, à savoir:
Q = Sv

- formoule cardio.png (4.61 Kio) Vu 472 fois
Maintenant on remplace par les chiffres et c'est
là que la magie de
"ouais c'est à peut près ça" intervient:

- formoule cardio.png (1.67 Kio) Vu 472 fois
Donc là tu te dis
4,3 c'est à peu près 4 et 1,3 c'est à peu près 1Tu te retrouve avec
d2 qui vaut à peu près 9 et tu cherches dans tes réponses possibles celle qui est
le plus proche de 9 et c'est 10
Félicitation, vous avez la bonne réponse!
Sinon, ce genre d'item ne tombera pas tel quel au concours, le prof vous mettra forcément des aides au calculs, quand le site a été créé, la calculatrice était autorisée au concours donc ce genre de chose était faisable mais maintenant les profs savent qu'ils doivent vous fournir de quoi répondre aux QCMs de calcul s'ils sont trop compliqués
Voilà, j'espère que j'ai pu t'aider
Poutoux
