Salut,
Alors je confirme^^
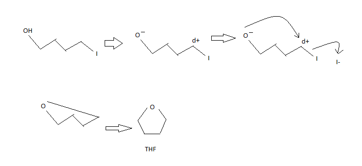
NaH = Na+ et H-, ton H- petit anion incompris va chercher un cation H+ sur ta molécule, le H+ le plus positif de ta molécule pour créer H2 qui est stable.
Tu te retrouves avec O- lié à ton iodo butane, I (aka I-) est un gros indépendantiste, il rend le carbone auquel il est relié très positif, par attraction ionique (force de Van der Waals, tout ça tout ça). Ta molécule intermédiaire et donc très instable carboAnion, avec O- d'un coté et I de l'autre qui veut quitter le C (delta+ [je ne sais pas si vous faites encore la polarité des molécules mais c'est comme ça que ça se note]).
Ton O- n'aime pas être seul, il est attiré vers ton C(d+) lui même relié à I. O- va donc attaquer le C(d+) par SN2 intramoléculaire (quand le subtitué et substituant sont sur la même molécule), I se barre et tu obtiens ton THF qui est super stable.

- orga.png (4.98 Kio) Vu 260 fois