par Romanubrium » 07 Nov 2025, 23:28
Coucou!
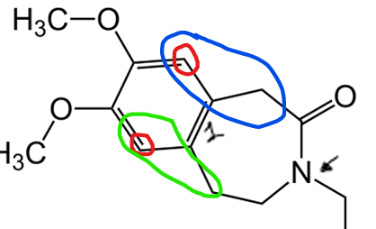
Parmi les groupements en bleu, c'est celui en rouge qui est prioritaire et parmi les verts pareil. Les deux prioritaires sont du même côté de la double liaison!
- Fichiers joints
-

- Capture d'écran 2025-11-07 222505.png (33.24 Kio) Vu 40 fois