Salut Artemis !Non on ne dessine pas les molécules avec Paint, on a un logiciel exprès pour ça (heureusement), mais ça va tu t'es pas trop mal débrouillée
Alors du coup moi aussi je t'ai fait un dessin, mais comme le dessin est un peu imbuvable, j'ai essayé de mettre des couleurs, et je vais essayer de tout t'expliquer donc il faut que tu suives avec le dessin en même temps que tu lis mon explication :

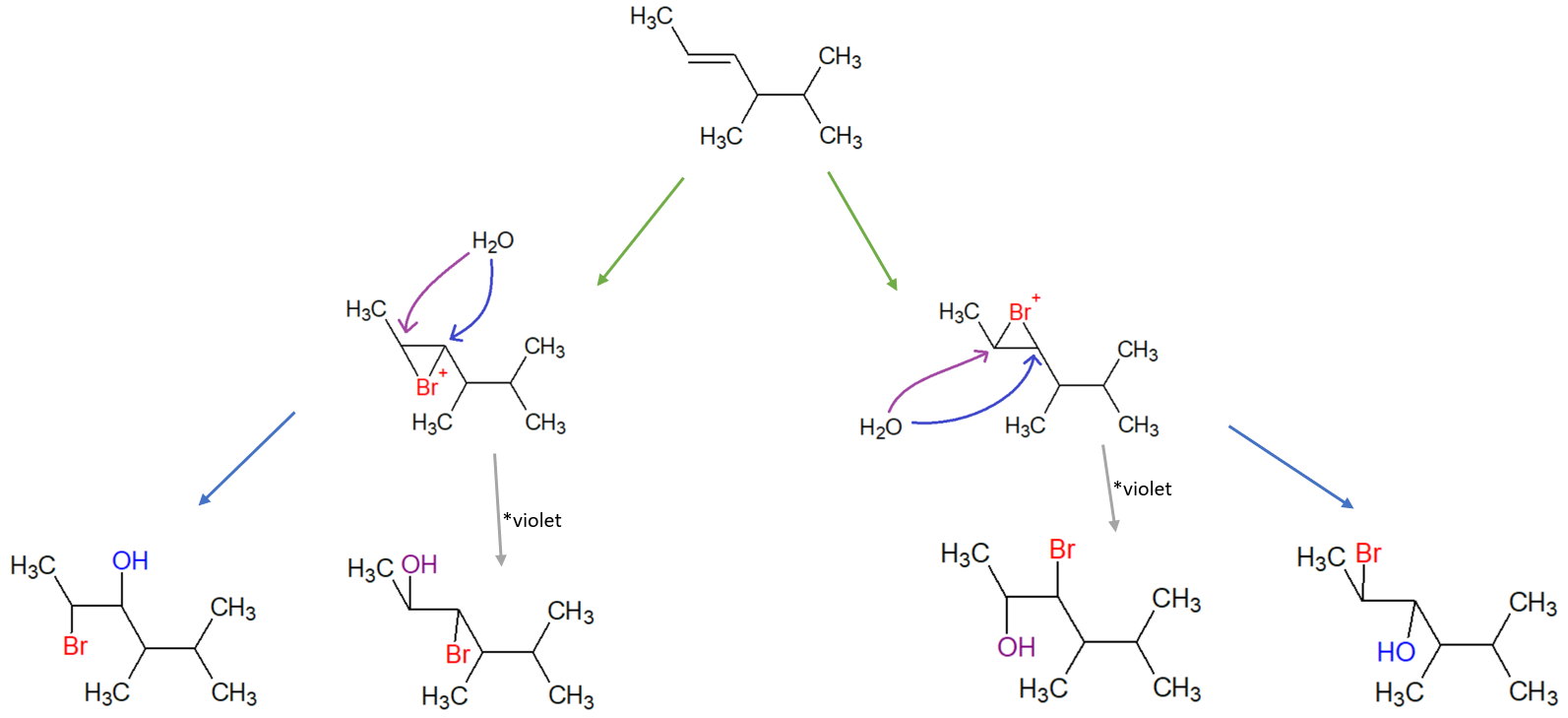
- Voici l'oeuvre d'art (clique dessus pour zoomer)
Tout en haut tu as ton alcène de départ.
Ensuite :

La première étape c'est la formation de l'ion bromonium ponté. Il peut se former soit
en haut (molécule de droite) soit
en bas (molécule de gauche).

Deuxième étape : attaque de l'eau sur l'ion bromonium.
Dans les deux cas (à droite comme à gauche) l'eau peut attaquer soit
selon la flèche bleue (donnera le produit avec l'OH en bleu) soit
selon la flèche violette (donnera le produit avec l'OH en violet).
On pourrait croire qu'on a en fait 4 produits... mais non, on considère que dans cette réaction
ON N'A QUE DEUX PRODUITS car
les deux produits bleus sont identiques et
les deux produits violets aussi !
Regarde bien la position des atomes sur les carbones, elle est exactement identique car le fait de représenter l'OH en haut ou en bas ça ne change rien...
Donc au final on obtient juste le produit bleu et le produit violet quoi. Et n'oublie pas que le Br et le OH ne pourront jamais être sur le même carbone car c'est une trans-addition ++
C'est bon pour toi ?
