Le professeur nous a envoyé le sujet, vous allez pouvoir le refaire chez vous tranquillement.
Pour la moindre question a propos du sujet => le forum !!!!
Bon courage !!!
vos tuteurs d'orga






Zhost a écrit:Kikou !
J'ai aussi une question sur le qcm.... (suspens ^^) 6 !
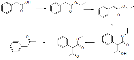
1ère réaction : pourquoi on a un chauffage qui traine ? Pour les estérifications j'ai rarement vu l'utilisation d'un chauffage :/
2ème réaction : comment sommes-nous arriver à l'ion énolate ? La simple utilisation d'une base forte ? EtOH est un catalyseur ?
N'y a-t-il aucune possibilité d'acétalisation ? (là, j'avoue que je dis une bêtise, mais je sais que si la question me devait d'être posé, je ne saurais pas quoi répondre :/ )
Voili ^^
Merci par avance!
(Par contre, j'ai aucune excuse pour avoir parler d'acétalisation )

Buddy a écrit:Bonjour,
Alors c'est vrai que le prof ne l'a pas fait en cours, en fait si dans ses exercices, pour lui ça fait partie du cours, il s'agit d'une substitution nucléophile par activation de l'alcool. Comme la protection des cétones ou TsCl.
Ensuite tu as un ester donc pour former le chlorure d'acyl tu auras besoin d'un alcool, d'un vrai acide carboxylique, sur un ester je suis pas sur que ça marche bien bien, puisque la molécule est stable.
Voilou


♠LX♠ a écrit:Le prof ne piège pas sur les compétitions de se genre, il veut déjà que vous sachiez la base

Retourner vers Chimie Organique
Utilisateurs parcourant ce forum: Aucun utilisateur enregistré et 2 invités