Le Guide pour bien débuter la LAS : Ici

Tutoriel Forum : Ici

Planning des Séances Tutorat et EB : ICI !
Errata : Séances Tutorat et EB, Annatuts, Ronéos
Centres de Téléchargement : ICI !
Réponses des Profs : ICI !
Annales : Achat, Corrections Officieuses
Annatuts : 2025-2026, Sommaire
MCC 25/26 : ICI
Candidature MMOPK : ICI
Terminale Santé : ICI

CORRECTION ST 4 : Ici

Newsletter : ICI


Exercice 4 Concours 2009 Réactivité


Exercice 4 Concours 2009 Réactivité

Messagepar Standby » 31 Aoû 2014, 10:42

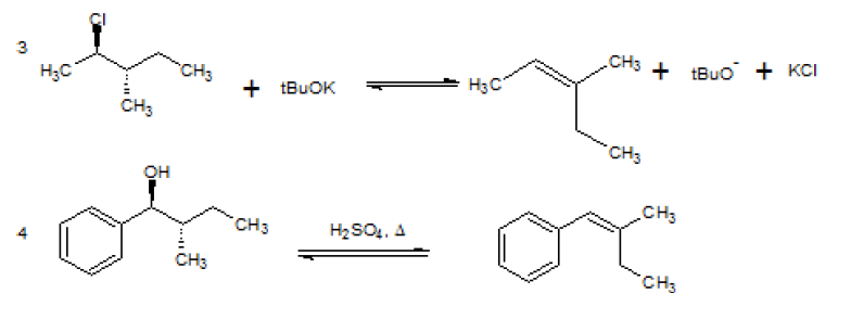
Bonjour à tous ! :D J'ai un peu de mal avec ces 2 réactions de l'exercice 4 du concours tombé en 2009 :

Exercice 2 cc 2009.png


pour la 3) ; Selon la correction il y a bien réaction , selon moi , il n'y en pas car :
- Cl et H sont en Syn
-il y a un encombrement stérique derrière ( groupe CH3)

pour la 4) : La correction donne la molécule suivante :

exercice 4 cc  9.png
exercice 4 cc 9.png (3.2 Kio) Vu 499 fois


je ne comprends pas du tout comment on obtient cette molécule :?

Voilà si quelqu'un pouvait m'éclairer ! Merci d'avance :)
Dernière édition par Standby le 02 Sep 2014, 14:03, édité 1 fois.
Standby
Carabin newbie
 
Messages: 10
Inscription: 30 Aoû 2014, 20:16

Re: Exercice 4 Concours 2009 Réactivité

Messagepar Avendil » 31 Aoû 2014, 14:15

Salut ! :)

:arrow: Pour la 3 vu que t'as une base forte c'est une E2, et je comprends pas trop ton histoire d'encombrement ? Pour moi ça s'éliminerait mais c'est bizzare en effet qu'e le H soit en Syn par rapport au Cl... y'a peut être un souci.

:arrow: Pour la 4 pour moi c'est bon la correction est juste car on a le stéréosimoère E et non Z (ce qui est faux) comme mis dans l'énoncé, après ce qui est je pense aussi une E2.
Image
"En biocell on apprend pas, on s'extasie" - Rock, 09/10/2014
"Blade with whom I have lived, Blade with whom I now die, serve right and justice one last time, seek one last heart of evil, still one last life of pain, cut well old friend, and then farewell."

Image Image
Avatar de l’utilisateur
Avendil
Gold Carabin
 
Messages: 2369
Inscription: 06 Sep 2013, 20:54
Localisation: 4ème dimension

Re: Exercice 4 Concours 2009 Réactivité

Messagepar Spower » 31 Aoû 2014, 23:38

Bonsoir ! :D

:arrow: Pour la 3, il s'agit bien d'une E2 car il y a présence d'une base forte (ici : tBuOK). La réaction a bien lieu mais pour une élimination d'ordre 2 il est nécessaire de placer le nucléofuge (ici : Cl) et le H en position anticoplanaire (= dans le même plan mais en opposition l'un de l'autre). Il suffit pour cela de faire une rotation autour de la liaison simple C-C afin d'obtenir cette molécule :
Image
C'est à toi de faire les rotations pour changer la conformation de ta molécule de manière à la mettre en anti ;) et ici il n'y a de raison de parler d'encombrement stérique ! On obtient bien au final le produit donné dans l'énoncé.

:arrow: Pour la 4, il s'agit également d'une élimination mais attention cette fois-ci de type E1 (donc pas de rotations à faire !!) En effet, la présence de chaleur (Δ) et l'absence de base forte conduit à ce genre de réaction. Le nucléofuge (ici -OH) est mauvais mais avec la présence d'un milieu acide (H2SO4 --> acide sulfurique) on va le traiter afin d'obtenir de l'eau, un bon nucléofuge. On respecte ensuite la régle de Zaitsev de façon à obtenir l'alcène le plus substitué ou le plus conjugué et c'est le cas ici avec la présence d'une mésomérie [πσπ]! On obtient bien au final le produit suivant :
Image

En espérant que mon explication (un peu longue :hypnotized: ) soit claire sinon n'hésite pas ! :bye: :bye:
Image
Avatar de l’utilisateur
Spower
Ex-Chef TuT'
 
Messages: 319
Inscription: 02 Sep 2012, 12:50

Re: Exercice 4 Concours 2009 Réactivité

Messagepar Avendil » 01 Sep 2014, 10:54

D'accord au temps pour moi désolé :embarrassed:
Image
"En biocell on apprend pas, on s'extasie" - Rock, 09/10/2014
"Blade with whom I have lived, Blade with whom I now die, serve right and justice one last time, seek one last heart of evil, still one last life of pain, cut well old friend, and then farewell."

Image Image
Avatar de l’utilisateur
Avendil
Gold Carabin
 
Messages: 2369
Inscription: 06 Sep 2013, 20:54
Localisation: 4ème dimension

Re: Exercice 4 Concours 2009 Réactivité

Messagepar Standby » 01 Sep 2014, 19:34

Merci beaucoup à vous 2 ! :)
Ta réponse est très claire Spower , d'autant plus que ce n'est pas facile à expliquer , mais pour la 3) tu dis qu'il faut les mettre en anticoplanaire mais dans la correction ils ont mis le H en arrière !

correction 3.png
correction 3.png (11.7 Kio) Vu 433 fois




(et à chaque fois qu'on a une Sn2 ou une E2 il faut mettre le nucléofuge et le H du carbone beta en anticoplanaire ? )
Voila merci et désolée de t'embeter avec ça !
Standby
Carabin newbie
 
Messages: 10
Inscription: 30 Aoû 2014, 20:16

Re: Exercice 4 Concours 2009 Réactivité

Messagepar Spower » 01 Sep 2014, 23:00

Re ! :) Je te rassure tu ne m’embêtes pas du tout :lol:

La correction est tout à fait juste aussi ! Mais ici, le Cl est en avant et le H du carbone beta en arrière !
Ainsi le nucléofuge et l'hydrogène sont bien en opposition, la réaction peut s'effectuer ! Ça marche aussi ;)
Tu peux faire comme tu préfères : l'un en avant et l'autre en arrière ou les deux dans le même plan mais en anti !

:!: Cette notion d'anticoplanaire entre nucléofuge et H en beta ne concerne que les E2.
Dans les substitutions nucléophiles d'ordre 2, l'attaque du nucléophile se fait en anti (= dans le plan opposé) par rapport au nucléofuge. On parle alors d'inversion de Walden pour les SN2 !
Attention à bien différencier les SN2 des E2 ;)

Bonne soirée ++ :bye:
Image
Avatar de l’utilisateur
Spower
Ex-Chef TuT'
 
Messages: 319
Inscription: 02 Sep 2012, 12:50

Re: Exercice 4 Concours 2009 Réactivité

Messagepar Standby » 02 Sep 2014, 14:02

Merci c'est tout bon ;)
Standby
Carabin newbie
 
Messages: 10
Inscription: 30 Aoû 2014, 20:16


Retourner vers Chimie Organique



Qui est en ligne

Utilisateurs parcourant ce forum: Aucun utilisateur enregistré et 0 invités