Salut ! alors premièrement pourrais-tu la prochaine fois poster dans la session concernée pour les problèmes de QCM / annatut siltouplait ? On essaie d'être organisé en bioch tavu :p
J'ai vu tes 3 posts, et je vais essayer de te faire un récap en une fois =)
On va partir du sucre sous forme cyclisé, on va prendre ici le D-glucopyranose :

- glucopyranose.png (8.46 Kio) Vu 366 fois
On ne peut pas connaitre la série (L ou D) en regardant la position du OH qui la détermine, car l'hydroxyle dernier carbone asymétrique responsable de la série (donc le carbone numéro 5) sera engagé dans la la cyclisation.
Mais comment-faire me diras-tu ? Et bien il suffit d'identifier le sucre en question grâce aux restes des groupements OH. Pour cela:
On bascule le sucre cyclisé de 90¤ pour donner un truc comme ça :

- glucopyranose2.png (11.32 Kio) Vu 366 fois
La ça commence à devenir plus facile:
-Sur le C1, la position du OH n'a pas d'importance car qu'on ait un anomère alpha ou béta, si on repasse sous forme linéaire cela reviendra a la fonction aldéhyde
-Par contre, on a la position du OH en C2, C3 et C4. Donc on peut déterminer l'orientation des OH sur 3 des 4 carbones qui seront asymétriques sous forme cyclisée (en fait on a juste pas l'orientation du OH sur le carbone qui détermine la série).
On compare :

- glucose.png (10.37 Kio) Vu 366 fois
Et voila, on reconnait le glucose (du coup on déduit que le -OH du C5 sera vers la droite en forme linéaire -> D-glucose).
Pour les 2 autres questions :
1) Comment savoir que ces 2 sucres sont diastéréoisomères ?

- diastéréoisomères.png (13.36 Kio) Vu 366 fois
On va commencer par définir un diastéréoisomère : c'est un stéréoisomère qui n'est pas un énantiomère (sous entendu même formule brute, mais qui diffèrent par l'agencement de leurs atomes).
Donc des épimères sont des diastéréoisomères ! A partir de là, 2 solutions:
-Soit tu sais que le mannopyranose et le glucopyranose sont épimères en C2, donc ce sont forcément des diastéréoisomères,
-Soit tu regardes l'agencement des OH, tu vois qu'ils ont la même formule brute mais qu'ils diffèrent par le positionnement de groupements -OH.
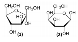
2) Comment savoir que ces sucres sont isomères ?

- isomères.png (15.79 Kio) Vu 366 fois
La définition d'isomère est simplement la même formule chimique, mais qui auront une structure différente. Comme l'ont bien dit Luffy et Chadoux (
Thx !) ils ont exactement les mêmes atomes, mais avec un agencement différent. Donc ils seront bien isomères.
C'est bon pour toi ? =)