Ahah, j'étais sur que tu n'avais pas compris le mécanisme de la E2 :'D !
(en même temps c'est une des réactions les plus enquiquinantes (pour ne pas devenir impoli... ^^))
Principe de la E2 :Pour faire une E2, tu dois absolument placer ton
nucléofuge en anti de ton hydrogène situé en bêta par rapport à celui-ci.
Explication :Ton nucléofuge est rattaché à un carbone.
---> Ce carbone est considéré comme carbone alpha.
====> Tous les carbones reliés à ce carbone alpha sont dits : carbones bêta.
Donc, lorsqu'on parle d'hydrogène situé en bêta, on parle d'un hydrogène sur un carbone bêta.
Voici une explication sur image :

- carbone en bêta.png (1.75 Kio) Vu 528 fois
__________________________________________________________________
Maintenant, comment les placer en anti ? Et qu'est-ce que ça veut dire ? Anti = il faut que ton hydrogène en bêta et ton nucléofuge
soient le plus à l'opposé possible.
-----> Reprenons la conformation anti du butane. On remarque que les 2 CH3 sont opposés.
Alors qu'en position syn ils se font face.Voici une explication sur image :

- anti & syn.png (8.37 Kio) Vu 528 fois
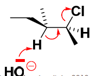
Et comment faire pour les placer en anti ?Ben... à l'image du butane, tu mets le groupe partant dans le plan et l'hydrogène dans le plan, mais à l'opposé. Comme figuré sur le cours que voilà :

- E2.png (4.36 Kio) Vu 528 fois
---> Tu remarques bien que le H et le Cl sont à l'opposé, comme les 2 CH3 du butane vu précédemment.
__________________________________________________________________
A présent, comment savoir si on forme l'alcène E ou l'alcène Z ? Avant de faire notre E2, nous avons 2 liaisons dans le plan : le groupe partant et l'hydrogène en bêta.
---> Tous les autres groupements sont soit en avant, soit en arrière (excepté la liaison centrale).
Donc, lorsqu'on fait l'alcène on se dit : "Tous les groupements en avant présent sur cet alcane seront en bas dans mon alcène alors que tous les groupements en arrières de mon alcane seront en haut sur mon alcène".
Tu peux aussi dire " en avant --> en haut" et "en arrière --> en bas", c'est aussi vrai, mais le prof a opté pour la 1ère option.
===> Et là, quand tu fais l'alcène tu formeras soit le composé E soit le composé Z... ça se fait automaticaly

Est-ce que c'est mieux

?